sovetchitsa
Советчица
Вход Регистрация
Спросить Советую Промо публикация Поиск товара
Настройки
Язык меню: ru ua Шрифт: a a a
Служба поддержки
Вход Регистрация
Правила | Ограничения | Cookies
©2008—2025 Советчица Kidstaff
Советчица - Работа, Карьера - Другое
anonim_102
Просто звязда• 27 ноября в 16:15

Кто-то в курсе подняли ли медикам и учителям зарплаты?

У медсестры зарплата 5 лет назад была 13500, а сейчас?
face_with_tears_of_joy 5
27 0
Все фото темыКомментарии автораМои благодарочкиМои ответы
anonim_153
фан L.O.S.T.• 27 ноября в 16:15
1
а сейчас у врача 16000 - если повезет
like 2
anonim_102
автор Просто звязда • 27 ноября в 16:17
2
Ответ дляфан L.O.S.T.
а сейчас у врача 16000 - если повезет
наш семейник сказал, что 30 тыщ у него зп.
woman_facepalming 2 like 2
anonim_153
фан L.O.S.T.• 27 ноября в 16:17
3
Ответ дляПросто звязда
наш семейник сказал, что 30 тыщ у него зп.
у семейного может
anonim_35
Квітка Миру• 27 ноября в 16:18
4
Ответ дляПросто звязда
наш семейник сказал, что 30 тыщ у него зп.
Так з тих 30 тищ він ще купу всього оплачує
anonim_69
Одні думки• 27 ноября в 16:18
5
В мене 1.5 ставки, великий досвід роботи, звання, і зарплата в 15 тис грн, она з найбільших в нашому ліцеї. У колег менше. Але тієї зп не вистачає з цими цінами. Шоб вижити, я підробляю репетиторством після уроків. Фактично працюю з 8 до 20.00 нонстоп. Дуже важко.
crying_face 7 woman_facepalming 3
anonim_105
Штора с кисточкой• 27 ноября в 16:20
6
Ответ дляПросто звязда
наш семейник сказал, что 30 тыщ у него зп.
Яка вам різниця якщо ви не з цієї галузі
Сімєйнік
like 4 woman_facepalming 2
anonim_102
автор Просто звязда • 27 ноября в 16:21
7
Ответ дляШтора с кисточкой
Яка вам різниця якщо ви не з цієї галузі
Сімєйнік
Еще скажите, что вы со мной лично знакомы
woman_facepalming 4
anonim_105
Штора с кисточкой• 27 ноября в 16:21
8
Ответ дляПросто звязда
Еще скажите, что вы со мной лично знакомы
Не вистачало
В моєму оточені колеги колег сімейніками не обзивають
face_with_tears_of_joy 3 woman_facepalming 1 like 1
anonim_102
автор Просто звязда • 27 ноября в 16:22
9
Ответ дляШтора с кисточкой
Не вистачало
В моєму оточені колеги колег сімейніками не обзивають
А как? ’ваша светлость’?
woman_facepalming 2
anonim_91
Хачапууури• 27 ноября в 16:22
10
Ответ дляШтора с кисточкой
Не вистачало
В моєму оточені колеги колег сімейніками не обзивають
Та вони самі себе так називают ...
like 2
anonim_105
Штора с кисточкой• 27 ноября в 16:22
11
Ответ дляХачапууури
Та вони самі себе так називают ...
Та точно
anonim_69
Одні думки• 27 ноября в 16:23
12
Стосовно підвищення. Нам завжди підвищують зп, але прибирають якісь надбавки. Ось з нового року обіцяють підвищення на 30 процентів, але забирають надбавок на 2 тис грн. І виходить, що додають чотири тисячи, забирають дві. Чистих підвищення 2 тис. грн. За підвищення голосять більше ніж само оте підвищення
like 1
anonim_102
автор Просто звязда • 27 ноября в 16:24
13
Ответ дляХачапууури
Та вони самі себе так називают ...
вполне нормальное нейтральное сокращение.
like 2 dislike 1 woman_facepalming 1
anonim_105
Штора с кисточкой• 27 ноября в 16:23
14
Ответ дляПросто звязда
А как? ’ваша светлость’?
А просто не спотворювати не можна ? Чи розуму замало ?
like 2 woman_facepalming 2
anonim_102
автор Просто звязда • 27 ноября в 16:24
15
Ответ дляШтора с кисточкой
А просто не спотворювати не можна ? Чи розуму замало ?
Так, а ну не переходи на личности!
heart 1
anonim_138
Усатая полосатая• 27 ноября в 16:25
16
так, з 2019 року по 4 тищі баксів, кінець епохи бідності
woman_facepalming 1
anonim_105
Штора с кисточкой• 27 ноября в 16:25
17
Ответ дляПросто звязда
Так, а ну не переходи на личности!
Таки замало
Ми на ти ?
anonim_102
автор Просто звязда • 27 ноября в 16:26
18
Ответ дляШтора с кисточкой
Таки замало
Ми на ти ?
А как с троллями и флудильщиками, я их не уважаю, потому на ’ты’
anonim_105
Штора с кисточкой• 27 ноября в 16:26
19
Ответ дляПросто звязда
А как с троллями и флудильщиками, я их не уважаю, потому на ’ты’
Чиєї б поваги прагнула би
anonim_102
автор Просто звязда • 27 ноября в 16:26
20
Ответ дляШтора с кисточкой
Чиєї б поваги прагнула би
Повагу нужно еще заслужить.
anonim_105
Штора с кисточкой• 27 ноября в 16:27
21
Ответ дляПросто звязда
Повагу нужно еще заслужить.
Так пишу- шо таких обмежено невихованих поваги не потребую
А ви далі цікавтеся зарплатами
woman_facepalming 1
anonim_102
автор Просто звязда • 27 ноября в 16:29
22
Ответ дляШтора с кисточкой
Так пишу- шо таких обмежено невихованих поваги не потребую
А ви далі цікавтеся зарплатами
Мало ли что вам там могло показаться. Я своего сеймейника уважаю и рада, что у него 30 тыщ. Хороший доктор.
anonim_9
заварний look• 27 ноября в 16:52
23
Ответ дляОдні думки
В мене 1.5 ставки, великий досвід роботи, звання, і зарплата в 15 тис грн, она з найбільших в нашому ліцеї. У колег менше. Але тієї зп не вистачає з цими цінами. Шоб вижити, я підробляю репетиторством після уроків. Фактично працюю з 8 до 20.00 нонстоп. Дуже важко.
Не трындите. У меня 30 часов, без звания 23т на руки.
like 1
anonim_206
ХвостПистолетом• 27 ноября в 16:56
24
Працюю в коледжі. Вузькофахові технічні пондмети. 2 ставки, кураторство, зав кабінетом, керівництво дипломними роботами. 15 років педстажу, дві ВО, 10 + років фахового стажу до того ж
16-17 тис на руки + премії типу до дня вчителя до 1 тис грн (от в жовтні 650 грн премія була)
anonim_150
Играю у края• 27 ноября в 16:56
25
Ответ дляОдні думки
В мене 1.5 ставки, великий досвід роботи, звання, і зарплата в 15 тис грн, она з найбільших в нашому ліцеї. У колег менше. Але тієї зп не вистачає з цими цінами. Шоб вижити, я підробляю репетиторством після уроків. Фактично працюю з 8 до 20.00 нонстоп. Дуже важко.
У меня 1,5 ставки. 21т . Класса нет, звания нет, гимназия. У коллег есть и больше, если ещё класс и звание методиста.
anonim_218
Бриджит_Фрикандо• 27 ноября в 18:23
26
А за что им повышать? За то что ни хрена не делают?
anonim_182
Весёлая морковка• 27 ноября в 22:55
27
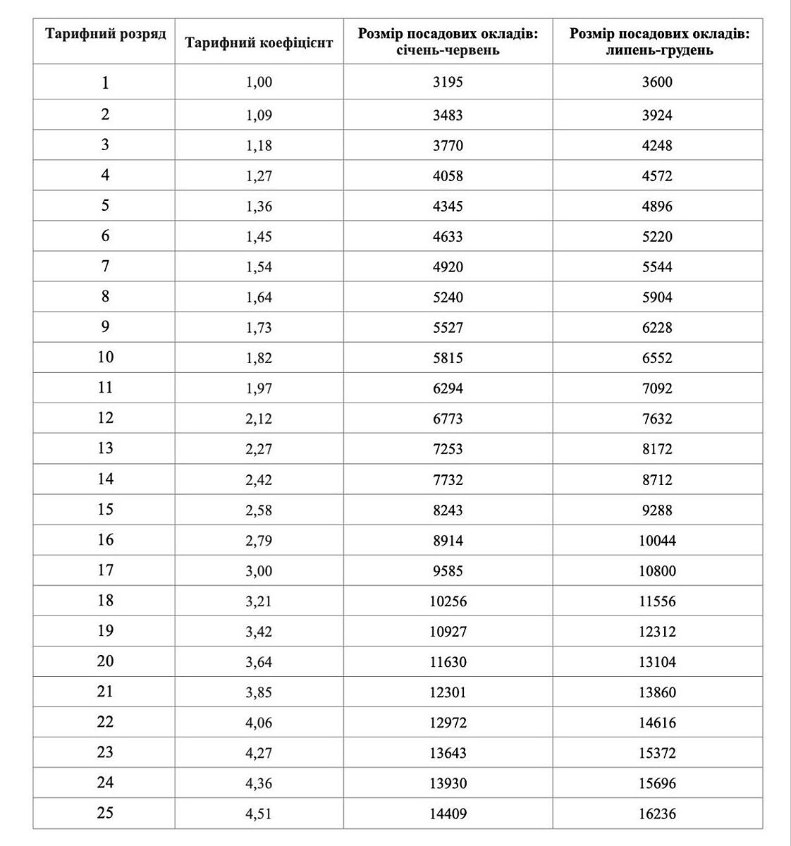
Тарифну сітку не підвищують, ставки жахливо низькі. Підвищення в освіті, медицині за рахунок надбавок, доплат, премій. В нас, у культурі, і такого нема. В мене наприклад, як у завідувачки бібліотеки, ставка 7253 грн, є ще надбавки вислуга років, то на руки виходить 8-9 тис грн. Мізер. В тим паче враховуючи повну матеріальну відповідальність. У бібліотекарів 6-7 тис грн, повний робочий день, то вакансії місяцями не закриваються. Навіть пенсіонери вже не хочуть, бо обов´язків багато і 8 годин треба бути на роботі.
attached-photo
Мнения, изложенные в теме, передают взгляды авторов и не отражают позицию Kidstaff

Похожие темы:

Ще з цiкавого


Популярные вопросы!

Сегодня Вчера 7 дней 30 дней

ещё

Сейчас читают!

Благотворительность!

Назад Комментарии к ответу

О нас | Служба Поддержки | Помощь

Правила | Ограничения | Cookies ©2008—2025 Советчица Kidstaff