Бутылка Кифира• 06 августа 2018
Кредит Ельдорадо хто брав
Замовила товар за 5500 на 15 місяців виплата безвідсотково
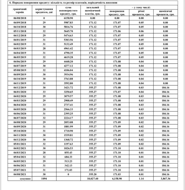
Прийшов товар на нову пошту. Договір на 36 місяців. Тіло кредиту 6200 + 15 місяців безпроцентів інші 15 з процентами 180 грн./за місяць одних процентів.
Кінцева сума 9000 грн.
Не забрала. Пізно дзвонити до них. Завтра передзвоню.
Але що за прикол?
Прийшов товар на нову пошту. Договір на 36 місяців. Тіло кредиту 6200 + 15 місяців безпроцентів інші 15 з процентами 180 грн./за місяць одних процентів.
Кінцева сума 9000 грн.
Не забрала. Пізно дзвонити до них. Завтра передзвоню.
Але що за прикол?
Волшебная палочка• 06 августа 2018
Может они услуги посчитали( дополнительный сервис или настройки)?
Админко• 06 августа 2018
Очень странно. У нас без % кредит был, платили действительно без %, только 20 грн банку в месяц ’за смс информирование’))
Админко• 06 августа 2018
Может, посчитали конечную сумму за 30 месяцев кредита (с %). Уточняйте завтра утром на горячей линии.
Мамулька• 06 августа 2018
я оформляла в комфи, так там если за 10 платежей выплачиваю, то без процентов, если на дольше, то с ним. Может и у вас так. Вы же на 15 месяцев брали, а договор они могут писать на 30 платежей.
Мамулька• 06 августа 2018
Ответ дляАдминко
Может, посчитали конечную сумму за 30 месяцев кредита (с %). Уточняйте завтра утром на горячей линии.
да, скорее всего именно так.
Админко• 06 августа 2018
Ответ дляМамулька
да, скорее всего именно так.
И я так думаю, но лучше уточнить утром на линии, чтобы потом не вылезло боком)
Мамулька• 06 августа 2018
Ответ дляАдминко
А почему тело 6200 грн, если сумма товара 5500?
вот это тоже странно, уже страховку,доставку и гарантию небось вчухали туда((
автор
Бутылка Кифира
• 06 августа 2018
Ответ дляАдминко
А почему тело 6200 грн, если сумма товара 5500?
Тоже цікаво
Админко• 06 августа 2018
Ответ дляМамулька
вот это тоже странно, уже страховку,доставку и гарантию небось вчухали туда((
А Вы это оформляли? Очень странно.
Мы оформляли через розетку оплату частями вчера. Сумма 2550+60 грн доставка. Вот на эту сумму и оформилась оплата, разбили ровно. Без % и прочего.
Мы оформляли через розетку оплату частями вчера. Сумма 2550+60 грн доставка. Вот на эту сумму и оформилась оплата, разбили ровно. Без % и прочего.
Мамулька• 06 августа 2018
Ответ дляАдминко
А Вы это оформляли? Очень странно.
Мы оформляли через розетку оплату частями вчера. Сумма 2550+60 грн доставка. Вот на эту сумму и оформилась оплата, разбили ровно. Без % и прочего.
Мы оформляли через розетку оплату частями вчера. Сумма 2550+60 грн доставка. Вот на эту сумму и оформилась оплата, разбили ровно. Без % и прочего.
я оформляла с доставкой в тело кредита (габаритный товар в другой город), никаких страховок и гарантий нет, но это в комфи, а в эльдорадо любят парить, брала и там что-то, больше не буду)
автор
Бутылка Кифира
• 06 августа 2018
Ответ дляМамулька
я оформляла в комфи, так там если за 10 платежей выплачиваю, то без процентов, если на дольше, то с ним. Может и у вас так. Вы же на 15 месяцев брали, а договор они могут писать на 30 платежей.
то чому графік виплат в договорі на 30 місяців? І в договорі ніде немає 15 місяців :(
Админко• 06 августа 2018
Ответ дляМамулька
я оформляла с доставкой в тело кредита (габаритный товар в другой город), никаких страховок и гарантий нет, но это в комфи, а в эльдорадо любят парить, брала и там что-то, больше не буду)
Мы в Эльдорадо брали телевизор. Цена его была около 9к, платили 10к, так как впарили гарантию))
автор
Бутылка Кифира
• 06 августа 2018
Кредит беру вперше. Тому і запитую. На сайті ціна 5599. Такої цифри в договорі немає :(
автор
Бутылка Кифира
• 06 августа 2018
Якщо вони не перероблять договір на 5600 я принципово не піду забирати.
В іншому магазині куплю.
В іншому магазині куплю.
Мамулька• 06 августа 2018
Ответ дляБутылка Кифира
Кредит беру вперше. Тому і запитую. На сайті ціна 5599. Такої цифри в договорі немає :(
вам краще подзвонити, хай пояснять, я брала в реальному магазині, то там теж така таблиця з відсотками, але мені пояснив банківський робітник, що якщо більшу суму вносити і погасити за 10 місяців, то буде без відсотків. А ви брали через банк чи напряму магазин дає?
Админко• 06 августа 2018
Ответ дляБутылка Кифира
Кредит беру вперше. Тому і запитую. На сайті ціна 5599. Такої цифри в договорі немає :(
Я +- всё поняла. Вам разбили платежи на 30 месяцев. Платить Вам нужно 374 грн, чтобы вовремя оплатить кредит. И будет Ваша сумма 5600 грн.
Админко• 06 августа 2018
Ответ дляБутылка Кифира
то чому графік виплат в договорі на 30 місяців? І в договорі ніде немає 15 місяців :(
Это стандартный договор, Вы можете выплатить его за 15 месяцев без %, 16-й и далее - с %.
автор
Бутылка Кифира
• 06 августа 2018
Ответ дляАдминко
Я +- всё поняла. Вам разбили платежи на 30 месяцев. Платить Вам нужно 374 грн, чтобы вовремя оплатить кредит. И будет Ваша сумма 5600 грн.
А як цю суму зрозуміти?
західний_діалект• 06 августа 2018
Брала мясорубку в Эльдорадо - оплата частями. Все честно плачу по 200грн в месяц без напряга. На 7месяцев частями брала у них же холодильник. - уже выплатила.
Видимо кто-то не досмотрел или перепутал вид кредитования.
Видимо кто-то не досмотрел или перепутал вид кредитования.
размахер• 06 августа 2018
Ну так правильно все!
15 месяцев льготных.остальные 15 кредит,если не сможете по россрочке
5500+страховка
Все вам норм посчитали
15 месяцев льготных.остальные 15 кредит,если не сможете по россрочке
5500+страховка
Все вам норм посчитали
Ms. Скромность• 06 августа 2018
Нам в Эльдорадо влепили еще 300 гривен за смс и обязательную страховку. Отказались и купили морозилку за наличку.
Ms. Скромность• 06 августа 2018
Ответ длязахідний_діалект
Брала мясорубку в Эльдорадо - оплата частями. Все честно плачу по 200грн в месяц без напряга. На 7месяцев частями брала у них же холодильник. - уже выплатила.
Видимо кто-то не досмотрел или перепутал вид кредитования.
Видимо кто-то не досмотрел или перепутал вид кредитования.
Нет, если оплата частями (рассрочка) и на небольшой срок, то там действительно нет переплат. А у автора кредит.
автор
Бутылка Кифира
• 06 августа 2018
Навіщо мені та страховка і те смс інформування?
Кредит я планувала виплатити за 6 місяців. Я не буду 15 розтягувати. Але смисл мені 600 грн. переплачувати?
Кредит я планувала виплатити за 6 місяців. Я не буду 15 розтягувати. Але смисл мені 600 грн. переплачувати?
Ms. Скромность• 07 августа 2018
Ответ дляБутылка Кифира
Навіщо мені та страховка і те смс інформування?
Кредит я планувала виплатити за 6 місяців. Я не буду 15 розтягувати. Але смисл мені 600 грн. переплачувати?
Кредит я планувала виплатити за 6 місяців. Я не буду 15 розтягувати. Але смисл мені 600 грн. переплачувати?
У них такие условия. Не хотите, узнайте про оплату частями, но на такой срок, чтоб без переплат. Но там все равно что-то навяжут. Скажут, что без этого нельзя тогда оформить.
Мнения, изложенные в теме, передают взгляды авторов и не отражают позицию Kidstaff
Тема закрыта
Похожие темы:
Назад Комментарии к ответу