Не зви чайна• 14 февраля в 02:29
Вы придерживаетесь карантина во время болезни?
Я вот не понимаю, почему вокруг столько людей с симптомами орви? Недавно зашла в магазин, там семейная пара с ребенком, года 2. Дите кашляет каждую минуту просто, вот прям слышно что это не остаточный кашель, а самое начало. Вот какого фига? Так же полно вокруг дико кашляющих людей. Недавно на улице знакомую встретила, говорит вышла вот в магазин, у нас грипп. Существуют доставки и прочее. Зачем ходить и заражать остальных? Вы тоже так делаете?
ПС. Зато когда я вышла в магазин после ветрянки (я уже была не заразна, то был 20 какой-то день 😂), так все шарахались. Можно подумать грипп или бронхит легче. Так тут ниче значит, можно ходить.
ПС. Зато когда я вышла в магазин после ветрянки (я уже была не заразна, то был 20 какой-то день 😂), так все шарахались. Можно подумать грипп или бронхит легче. Так тут ниче значит, можно ходить.
показать весь текст
Результат:
вже голосів:
81
34 (41.98%)
В исключительных случаях выхож
24 (29.63%)
Нет, придерживаюсь карантина
23 (28.4%)
Да, что тут такого
2
2
1
1
1
7
Весотехник• 14 февраля в 17:29
Ответ дляНе зви чайна
Есть уязвимые слои населения: дети, пенсионеры, беременные, онкобольные и ВИЧ инфицированные. То, что вы говорите о кассирах - их осознанный выбор. Работа с людьми это вообще-то риск всегда. Но тот кто вышел просто в парк подышать воздухом, почему должен дышать вашими бацылами?
О каких зарплатах и пенсиях вы говорите? В каждой теме отписываются о том, как хорошо зарабатывают. Так может, не надо врать?
О каких зарплатах и пенсиях вы говорите? В каждой теме отписываются о том, как хорошо зарабатывают. Так может, не надо врать?
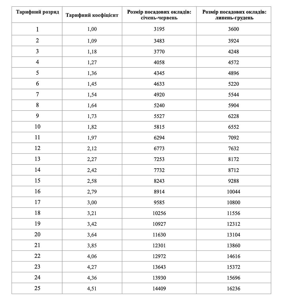
Смотрите какие зарплаты, три года их не повышают, смотрите по первой графе, малюсенькое повышение, которое должно было быть прошлым летом отменили. До минималки 6140 доплачивают, так как даже у специалиста ставка меньше минималки. Так это зарплаты работающим людям, какие частные врачи, доставки, такси. У меня аванс 3500, на него две недели прожить надо, так это у меня не минималка, а немного выше. У моих сотрудниц аванс 2500-3000, зарплата чуточку больше. Про пенсии вообще молчу.
1
Шукаю трусики• 14 февраля в 17:34
Ответ дляНе зви чайна
Есть уязвимые слои населения: дети, пенсионеры, беременные, онкобольные и ВИЧ инфицированные. То, что вы говорите о кассирах - их осознанный выбор. Работа с людьми это вообще-то риск всегда. Но тот кто вышел просто в парк подышать воздухом, почему должен дышать вашими бацылами?
О каких зарплатах и пенсиях вы говорите? В каждой теме отписываются о том, как хорошо зарабатывают. Так может, не надо врать?
О каких зарплатах и пенсиях вы говорите? В каждой теме отписываются о том, как хорошо зарабатывают. Так может, не надо врать?
Ну так я і відношуся до уязвимого слоя
А касирами ідуть не від великого бажання, а від безвиході, і тому шо тупо немає іншої роботи
Я не гуляю по паркам, коли хворію
В кожній темі тупо звиздять, а реальність інша, шо люди бомжі на зйомі все життя і в кредитах, прокиньтеся
А касирами ідуть не від великого бажання, а від безвиході, і тому шо тупо немає іншої роботи
Я не гуляю по паркам, коли хворію
В кожній темі тупо звиздять, а реальність інша, шо люди бомжі на зйомі все життя і в кредитах, прокиньтеся
Шукаю трусики• 14 февраля в 17:35
Ответ дляНе зви чайна
И вот еще, цену на лекарства то видели? Так что же вы намеренно подвергаете других опасности, понимая, что на лекарства денег может и не быть? Или вы из тех, кто думает раз мне плохо, то пускай и другим будет плохо?
Удалено администрацией...
Шукаю трусики• 14 февраля в 17:36
Ответ дляВесотехник
Смотрите какие зарплаты, три года их не повышают, смотрите по первой графе, малюсенькое повышение, которое должно было быть прошлым летом отменили. До минималки 6140 доплачивают, так как даже у специалиста ставка меньше минималки. Так это зарплаты работающим людям, какие частные врачи, доставки, такси. У меня аванс 3500, на него две недели прожить надо, так это у меня не минималка, а немного выше. У моих сотрудниц аванс 2500-3000, зарплата чуточку больше. Про пенсии вообще молчу.
Так а я про шо пишу
Якась звезданута на всю голову
Якась звезданута на всю голову
автор
Не зви чайна
• 14 февраля в 17:42
Ответ дляВесотехник
Смотрите какие зарплаты, три года их не повышают, смотрите по первой графе, малюсенькое повышение, которое должно было быть прошлым летом отменили. До минималки 6140 доплачивают, так как даже у специалиста ставка меньше минималки. Так это зарплаты работающим людям, какие частные врачи, доставки, такси. У меня аванс 3500, на него две недели прожить надо, так это у меня не минималка, а немного выше. У моих сотрудниц аванс 2500-3000, зарплата чуточку больше. Про пенсии вообще молчу.
Ага, именно поэтому у всех айфоны, машины, все именно с такой ЗП ездили раньше по турциям и египтам ? А сейчас по Карпатам ) оказывает на такую зарплату ого как можно себе позволить.
1
автор
Не зви чайна
• 14 февраля в 17:46
Ответ дляШукаю трусики
Удалено администрацией...
Удалено администрацией...
Шукаю трусики• 14 февраля в 17:58
Ответ дляНе зви чайна
Удалено администрацией...
А якщо немає продуктів? Мовчки піду і куплю і вашого дозволу не питатиму
Потребую апгрейду• 14 февраля в 18:11
Ответ дляМедсестричка
Заразите якусь бабусю і вона помре, буде на вашій совісті
Переживу 😀
Как бы двусмысленно не звучало
Как бы двусмысленно не звучало
1
1
автор
Не зви чайна
• 14 февраля в 19:49
Ответ дляШукаю трусики
А якщо немає продуктів? Мовчки піду і куплю і вашого дозволу не питатиму
Тогда и не удивляйтесь если кто-нибудь будет стоять на кассе рядом с вами с открытой формой туберкулеза, например. Им же тоже продукты нужны, правда же?
Шукаю трусики• 14 февраля в 19:58
Ответ дляНе зви чайна
Тогда и не удивляйтесь если кто-нибудь будет стоять на кассе рядом с вами с открытой формой туберкулеза, например. Им же тоже продукты нужны, правда же?
А я і не дивуюсь, і їх повно, а ви як дівчинка маленька наївна, навіть з ковідом моя знайома ходила клієнтів обслуговувати - перукар, маску, антисептик і вперед, хоча та маска до одного місця і всі це знають, бо по іншому немає ні зп, нічого, а жити треба
А також сімейний лікар ковідних приймала без маски навіть і пофіг
А ви прям вирішили мене здивувати сміх
А також сімейний лікар ковідних приймала без маски навіть і пофіг
А ви прям вирішили мене здивувати сміх
Весотехник• 14 февраля в 20:30
Ответ дляНе зви чайна
Тогда и не удивляйтесь если кто-нибудь будет стоять на кассе рядом с вами с открытой формой туберкулеза, например. Им же тоже продукты нужны, правда же?
Так они и стоят. Люди многие не имеют возможности лечить никакие хронические болезни, включая заразные, население нищее, а те же туберкулёзные больницы давно позакрывали.
2
Весотехник• 14 февраля в 20:38
Ответ дляНе зви чайна
Ага, именно поэтому у всех айфоны, машины, все именно с такой ЗП ездили раньше по турциям и египтам ? А сейчас по Карпатам ) оказывает на такую зарплату ого как можно себе позволить.
Вы уверены, что у всех? У одного из ста, может быть. У меня нет айфона и заграницей ни разу в жизни не была. Мои сотрудники и родственники тоже. И да, живу на свою зарплату. Заведующая библиотекой со стажем 35 лет и зарплатой 8,5 тыс грн. Мои подруги: воспитатель в детсаду, музработник, медсестра получают плюс-минус столько же. И да, все мы больничные ездим открывать в общественном транспорте с двумя пересадками. Машин нет.
А Вы живёте в какой-то параллельной реальности
А Вы живёте в какой-то параллельной реальности
2
Печенюшка• 15 февраля в 00:31
Ответ дляНе зви чайна
Ну если они мыслят так же как и некоторые здесь, то да. Но хочется верить что большинство людей всё же адекватные.
На жаль, як показали всі ці події, адекватних людей, виявляється, не так й багато. Дуже сумно(
Печенюшка• 15 февраля в 00:32
Ответ дляШукаю трусики
Всім плювати кожен сам за себе
Це просто жах якийсь (
Печенюшка• 15 февраля в 00:36
Ответ дляВесотехник
Вы уверены, что у всех? У одного из ста, может быть. У меня нет айфона и заграницей ни разу в жизни не была. Мои сотрудники и родственники тоже. И да, живу на свою зарплату. Заведующая библиотекой со стажем 35 лет и зарплатой 8,5 тыс грн. Мои подруги: воспитатель в детсаду, музработник, медсестра получают плюс-минус столько же. И да, все мы больничные ездим открывать в общественном транспорте с двумя пересадками. Машин нет.
А Вы живёте в какой-то параллельной реальности
А Вы живёте в какой-то параллельной реальности
Надеюсь, у Вас хватает хотя бы немного здравого смысла одеть при этом маску.. хотя, можете не отвечать, ответ известен.
Шукаю трусики• 15 февраля в 06:23
Ответ дляПеченюшка
Це просто жах якийсь (
Це реалії життя
Кожен день пачками убивают і скидають бомби, абсолютно всім на це начхати, і нічого за це не буде, а вона переживає, що хтось з ОРВИ купує продукти в атб
Кожен день пачками убивают і скидають бомби, абсолютно всім на це начхати, і нічого за це не буде, а вона переживає, що хтось з ОРВИ купує продукти в атб
Шукаю трусики• 15 февраля в 06:24
Ответ дляПеченюшка
Надеюсь, у Вас хватает хотя бы немного здравого смысла одеть при этом маску.. хотя, можете не отвечать, ответ известен.
Маска до одного місця, давно доказаний факт
Печенюшка• 15 февраля в 18:41
Ответ дляШукаю трусики
Маска до одного місця, давно доказаний факт
Ну послухайте хоча б наших гарних інфекціоністів, епідеміологів, їх на всю країну по пальцям можна перерахувати, але вони є, самі справжні, які знають епідеміологію всього, як це все стримувати, контролювати, вони просять одягати маски в таких ситуаціях, бо знижується вірусна нагрузка на оточуючих, вони працюють не на 100% , але працюють! Це наші лікарі багато хто каже, що ж ви такі не пробиваємі ніяк!!
Шукаю трусики• 15 февраля в 20:28
Ответ дляПеченюшка
Ну послухайте хоча б наших гарних інфекціоністів, епідеміологів, їх на всю країну по пальцям можна перерахувати, але вони є, самі справжні, які знають епідеміологію всього, як це все стримувати, контролювати, вони просять одягати маски в таких ситуаціях, бо знижується вірусна нагрузка на оточуючих, вони працюють не на 100% , але працюють! Це наші лікарі багато хто каже, що ж ви такі не пробиваємі ніяк!!
Їх треба міняти кожну годину! Як думаєте хтось це робить? Їх безкоштовно пачками роздають? Цей намордник до одного місця, дурням сказали вони і натягнули
Печенюшка• 15 февраля в 21:28
Ответ дляШукаю трусики
Їх треба міняти кожну годину! Як думаєте хтось це робить? Їх безкоштовно пачками роздають? Цей намордник до одного місця, дурням сказали вони і натягнули
Ви лікарів називаєте дурнями? Так, серед них дурнів теж багато, згодна, але я Вам пишу про справжніх лікарів, таких, які спасають вас, і які знаю точно, що і як відбувається! Більше не пишіть, просто непробивна стіна і невігластво ПОВНЕ!
Шукаю трусики• 15 февраля в 21:36
Ответ дляПеченюшка
Ви лікарів називаєте дурнями? Так, серед них дурнів теж багато, згодна, але я Вам пишу про справжніх лікарів, таких, які спасають вас, і які знаю точно, що і як відбувається! Більше не пишіть, просто непробивна стіна і невігластво ПОВНЕ!
Всі хто заставив натягнути намордник і сидіти вдома - дурні, експеримент над лохами
А повну єрунду, пишеш тільки ти
А повну єрунду, пишеш тільки ти
1
Печенюшка• 15 февраля в 22:07
Ответ дляШукаю трусики
Всі хто заставив натягнути намордник і сидіти вдома - дурні, експеримент над лохами
А повну єрунду, пишеш тільки ти
А повну єрунду, пишеш тільки ти
Тяжкий випадок… хірургів перед операцією теж попросите зняти маски, бо це тряпки для цуциків лише? Який Ви невіглас! І як же таких багато..
Шукаю трусики• 16 февраля в 10:22
Ответ дляПеченюшка
Тяжкий випадок… хірургів перед операцією теж попросите зняти маски, бо це тряпки для цуциків лише? Який Ви невіглас! І як же таких багато..
У вас так пердак підгорає, бо я пишу правду 🤷🏻♀️
Мнения, изложенные в теме, передают взгляды авторов и не отражают позицию Kidstaff
Тема закрыта
Похожие темы:
Назад Комментарии к ответу