ПрипоРошенная• 19 ноября в 09:40
Бачили уже? По субсидіям
показать весь текст
19
5
3
2
1
автор
ПрипоРошенная
• 19 ноября в 13:25
Ответ дляЧерный Ловелас
Никогда не поздно открыть фоп и начать торговлю трусами на олх, миллионерши все так давно сделали и в ус не дуют с морковными айфонами на 2 тб и майбахами.
а як відкривати ФОП якщо не має стабільних заробітків? Або вони мізерні
автор
ПрипоРошенная
• 19 ноября в 13:27
Ответ дляЯйцеголовая
Автор, де ви таке вичитали? Не можу в гуглі знайти.
Обозреватель
1
Не будь КакСвета• 19 ноября в 13:29
Ответ дляПрипоРошенная
а як відкривати ФОП якщо не має стабільних заробітків? Або вони мізерні
При капитализме гарантий нет
Либо работаешь и богатееешь
Либо вкладываешься и прогараешь
Рыночек решает!
Либо работаешь и богатееешь
Либо вкладываешься и прогараешь
Рыночек решает!
1
Запасная спина• 19 ноября в 13:35
Ответ дляБелая и пушистая
Уже красиво написали:
Та забебали со своими донатами!
Старикам да животным помогите, а не этой новой касте воров.
Старикам да животным помогите, а не этой новой касте воров.
2
автор
ПрипоРошенная
• 19 ноября в 13:42
Ответ дляЗавЛабСнаб
А если я безработная мне положена субсидия ?
ні
ЗавЛабСнаб• 19 ноября в 13:44
Ответ дляЗапасная спина
Та забебали со своими донатами!
Старикам да животным помогите, а не этой новой касте воров.
Старикам да животным помогите, а не этой новой касте воров.
Новая «каста воров» которая защищает нас оккупации своими жизнями ?? Донатила и буду донатить
2
Брюлик в стразах• 19 ноября в 13:47
Ответ дляНа привозе
У меня весь подъезд обклеен зарплатами по 27-28.
Это где за 6000 работают,и нет другой работы?
Это где за 6000 работают,и нет другой работы?
Обклеено ,то обклеено ,а на руки 10-12 тыщ. В нормальную и стабильную ( где платят реальные деньги и хорошие условия ) объявления на подъезде ( тем более на подъезде!)не нужны , там своих людей приводят .
6
Брюлик в стразах• 19 ноября в 13:49
Ответ дляКапризуля
А пілкажіть мені жінка 45 років, не була щаміжньою, і мати пенсіонер - це одна сім´я?
Да ,если проживают вместе.
Я так с отцом оформляла субсидию ,мы шли как семья .
Я так с отцом оформляла субсидию ,мы шли как семья .
На привозе• 19 ноября в 13:58
Ответ дляБрюлик в стразах
Обклеено ,то обклеено ,а на руки 10-12 тыщ. В нормальную и стабильную ( где платят реальные деньги и хорошие условия ) объявления на подъезде ( тем более на подъезде!)не нужны , там своих людей приводят .
Своих приводят,несомненно,но даже у нас попадают с улицы.Я так попала к примеру Потому что работать кому то нужно. Свои не работают как правило. Или не так как хочет работодатель.
Ну и не так страшны работы с таких объявлений.Для многих это старт.Ты приходишь в такое место,проявляешь себя,обзаводишься связями и знакомствами и двигаешь дальше.
Ну и не так страшны работы с таких объявлений.Для многих это старт.Ты приходишь в такое место,проявляешь себя,обзаводишься связями и знакомствами и двигаешь дальше.
КарамбОлька• 19 ноября в 14:11
Ответ дляНа привозе
У меня бабушка в райцентре живёт -Бобровиця Нет там зарплат в 6000.
Но большинству это вообще не интересно-электричка,маршрутка,и через 1.20 в городе,где зарплаты намного выше.
Но большинству это вообще не интересно-электричка,маршрутка,и через 1.20 в городе,где зарплаты намного выше.
Ну да, 1.20 туда. 1.20 назад, ще й впахувать по 12 годин, тому що приватний бізнес зараз тільки таким часом виміряє. У нас теж купа вакансій в Бердичеві. Тільки половина з/п скромно не пише, а як пишуть, то за 12 годин і більше робочий час. Жити коли?
2
Не будь КакСвета• 19 ноября в 14:14
Ответ дляКарамбОлька
Ну да, 1.20 туда. 1.20 назад, ще й впахувать по 12 годин, тому що приватний бізнес зараз тільки таким часом виміряє. У нас теж купа вакансій в Бердичеві. Тільки половина з/п скромно не пише, а як пишуть, то за 12 годин і більше робочий час. Жити коли?
При рыночной экономике живет тот кто работает. Кто не работает, собирает стекло на помойках и живет полноценной яркой жизнью.
2
Капризуля• 19 ноября в 14:24
Ответ дляБрюлик в стразах
Да ,если проживают вместе.
Я так с отцом оформляла субсидию ,мы шли как семья .
Я так с отцом оформляла субсидию ,мы шли как семья .
А просто проживпють чи прописка важлива?
Брюлик в стразах• 19 ноября в 14:39
Ответ дляКапризуля
А просто проживпють чи прописка важлива?
Сходите узнайте подробнее ,мы прописаны вместе были .
Там девчата всё подскажут
Там девчата всё подскажут
автор
ПрипоРошенная
• 19 ноября в 14:42
Ответ дляНа привозе
Меньше читайте сайт обиженок. Я так же работаю в таком месте, о котором пишут подобное. Но пишут воры, алкаши, нарушители трудовой дисциплины, и те, кого за это выгнали. У остальных все ок.
Вернее читать то можно для общего представления.Но нужно понимать что правдивых отзывов там не так много.В основном это уволенные по разным причинам.
Вернее читать то можно для общего представления.Но нужно понимать что правдивых отзывов там не так много.В основном это уволенные по разным причинам.
99% правдиві
1
автор
ПрипоРошенная
• 19 ноября в 14:43
Ответ дляСундучок с каникулами
Вы знаете сколько в Украине маленьких городков и сел? А сколько матерей одиночек? А сколько пенсионеров? А сколько стоит коммуналка вы же знаете? А мясо сколько стоит?
Інвалідів...
автор
ПрипоРошенная
• 19 ноября в 14:45
Ответ дляЮпитерная
Я не писала что у нас квартиры не снимают, ну там и цены совершенно другие.
По поводу пенсии непонятно- 600 евро пеенсия, плюс 13 евро пенсия. Это вы к 13 недописали сколько нулей?
А сколько лет вашей сотруднице? Там же пенсия почти в 70.
По поводу бесплатно, одной подруге папе которую делали операцию в Германии, они выехали сразу, попросили закупить и оплатить обед для персонала.
Для другой подруги которая приезжает в Киев из Житомирской области, у неё ребёнок с особенностями, в институте рака каждый год делают бесплатное обследование, бесплатно общение с психологом. И какие-то процедуры в которых нуждается девочка, тоже бесплатно.
По поводу пенсии непонятно- 600 евро пеенсия, плюс 13 евро пенсия. Это вы к 13 недописали сколько нулей?
А сколько лет вашей сотруднице? Там же пенсия почти в 70.
По поводу бесплатно, одной подруге папе которую делали операцию в Германии, они выехали сразу, попросили закупить и оплатить обед для персонала.
Для другой подруги которая приезжает в Киев из Житомирской области, у неё ребёнок с особенностями, в институте рака каждый год делают бесплатное обследование, бесплатно общение с психологом. И какие-то процедуры в которых нуждается девочка, тоже бесплатно.
Знайому в Німеччинні попросили з роботи, бо їй десь 65, типу стара уже...
Бибер-анонимер• 19 ноября в 14:59
Ответ дляНе будь КакСвета
При рыночной экономике живет тот кто работает. Кто не работает, собирает стекло на помойках и живет полноценной яркой жизнью.
Працювать у півтори-дві зміни, або без вихідних, то може й поживеш трохи поки сил і здоров´я вистачить так працювать, але на скільки років вистачить? Яке здоров´я у такої людини буде через років 15-20? Або й раніше це зазвичай закінчується погано, лікарнею в кращому випадку.
Не будь КакСвета• 19 ноября в 15:02
Ответ дляБибер-анонимер
Працювать у півтори-дві зміни, або без вихідних, то може й поживеш трохи поки сил і здоров´я вистачить так працювать, але на скільки років вистачить? Яке здоров´я у такої людини буде через років 15-20? Або й раніше це зазвичай закінчується погано, лікарнею в кращому випадку.
Забудьте уже про СССР наконец, когда работаешь, не работаешь получаешь 120 рэ.
Сейчас буржуа жмет максимальную прибыль с работника. Сдохнет, нового найдем, благо рынок труда огромен.
Сейчас буржуа жмет максимальную прибыль с работника. Сдохнет, нового найдем, благо рынок труда огромен.
1
Кудлата хмаринка• 19 ноября в 15:04
Ответ дляРепетиторша
Свекрусі підняли пенсію, тепер не буде субсидії.
Отака логіка вийшла
Отака логіка вийшла
У моїх батьків років 5 вже теж нема субсидії після перерахунку пенсій.
Кудлата хмаринка• 19 ноября в 15:08
Ответ дляСтрахованная
55+ в Украине пенсии не дают, хотя в Донецке живёт родычка, она получает уже региональную, хотя и работает, в 60 идёт на полную пенсию по стажу, поэтому в Украине в таком возрасте только минималка если ещё повезёт.
А с водой как у вашей родычки?
Сумка з негодою• 19 ноября в 15:11
Ответ дляСиниця у спідниці
Больше 56% пенсионеров получают пенсию меньше 5тыс грн. Я не понимаю смысла платить такую пенсию, чтобы потом платить субсидию. По поводу работающих. Если двое получают по 10тыс, то им субсидия не положена , даже если есть ребенок. 10 тыс это на 25% больше минималки, на целых 25. За границей это считается существенных различием, а у нас до жопы бантик
Так а що ж не зрозуміло? Субдія на що дається? Правильно, на комуналку. Її собівартість набагато менша ніж сума, на яку треба підняти пенсії людям. Крім того це дає гарантований дохід всім злодіям як то Водоканали, Енергетичні компанії, газові тощо. Влада згодна давати гроші багатим, а бідним пенсіонерам вони роблять подачки у вигляді субсидії.
автор
ПрипоРошенная
• 19 ноября в 15:13
Ответ дляМеломанка Маланка
У нас удаленно работает очень много сотрудников из маленьких городков и сел, было бы желание, а вакансии все публикуются на сайтах трудоустройства. А мамаши одиночки пусть думают головой, а не причинным местом, когда беременеют непонятно от кого
Без досвіду берете? Обладнання надаєте своє?
Кудлата хмаринка• 19 ноября в 15:13
Ответ дляСоветничаю тут
Да, только сейчас...
Просто мне всегда казалось, что окупация - это очень страшно. А теперь хз
Просто мне всегда казалось, что окупация - это очень страшно. А теперь хз
Ну, может, не в прямом смысле оккупация, а по типу Грузии, где народ смперепугу выбрал прорашкинское правительство, премьера и все рыпанья в сторону Европы коту под хвост.
Не будь КакСвета• 19 ноября в 15:13
Ответ дляСумка з негодою
Так а що ж не зрозуміло? Субдія на що дається? Правильно, на комуналку. Її собівартість набагато менша ніж сума, на яку треба підняти пенсії людям. Крім того це дає гарантований дохід всім злодіям як то Водоканали, Енергетичні компанії, газові тощо. Влада згодна давати гроші багатим, а бідним пенсіонерам вони роблять подачки у вигляді субсидії.
Хе опять напомню что владельцы энергетики частники
какую хотят , такую и ставят цена свои услуги
какую хотят , такую и ставят цена свои услуги
Сумка з негодою• 19 ноября в 15:13
Ответ дляНе будь КакСвета
Мы не за границей
Кто хочет за границу пусть едет
Кто хочет за границу пусть едет
Ви не зрозуміли про що мова. Розкажу на пальцях
25% від 10 000 це 2500
25% від 100 000 це 25 000
Так зрозуміло, что кажуть що за кордоном 25% це велика різниця? Тому що розраховуються люди не відсотками, а абсолютами
25% від 10 000 це 2500
25% від 100 000 це 25 000
Так зрозуміло, что кажуть що за кордоном 25% це велика різниця? Тому що розраховуються люди не відсотками, а абсолютами
Кудлата хмаринка• 19 ноября в 15:14
Ответ дляЗавЛабСнаб
А если я безработная мне положена субсидия ?
Щаз. Мильйон.
Кудлата хмаринка• 19 ноября в 15:15
Ответ дляЮпитерная
Я голосовала за Порошенко. Но прекрасно понимаю, что если бы выборы что-то решали, то людей просто туда не пускали.
Аналогічно. По ТБ не доя того квартал завзято та регулярно обсирав пороха, щоб дати йому пройти на другий термін. Мізки промивались давно і заповзято.
1
Не будь КакСвета• 19 ноября в 15:17
Ответ дляКудлата хмаринка
Щаз. Мильйон.
Безработному положена работа
1
Бибер-анонимер• 19 ноября в 15:17
Ответ дляБорщичок
Жестко, но так и есть…не профессора медицины уколы делают и не человек с 2 ВО и знаниями 3 иностранных языков полы моет. Другое дело, что ЗП низкоквалифицированных работников должна быть такой, чтоб можно было закрыть самые базовые потребности человека
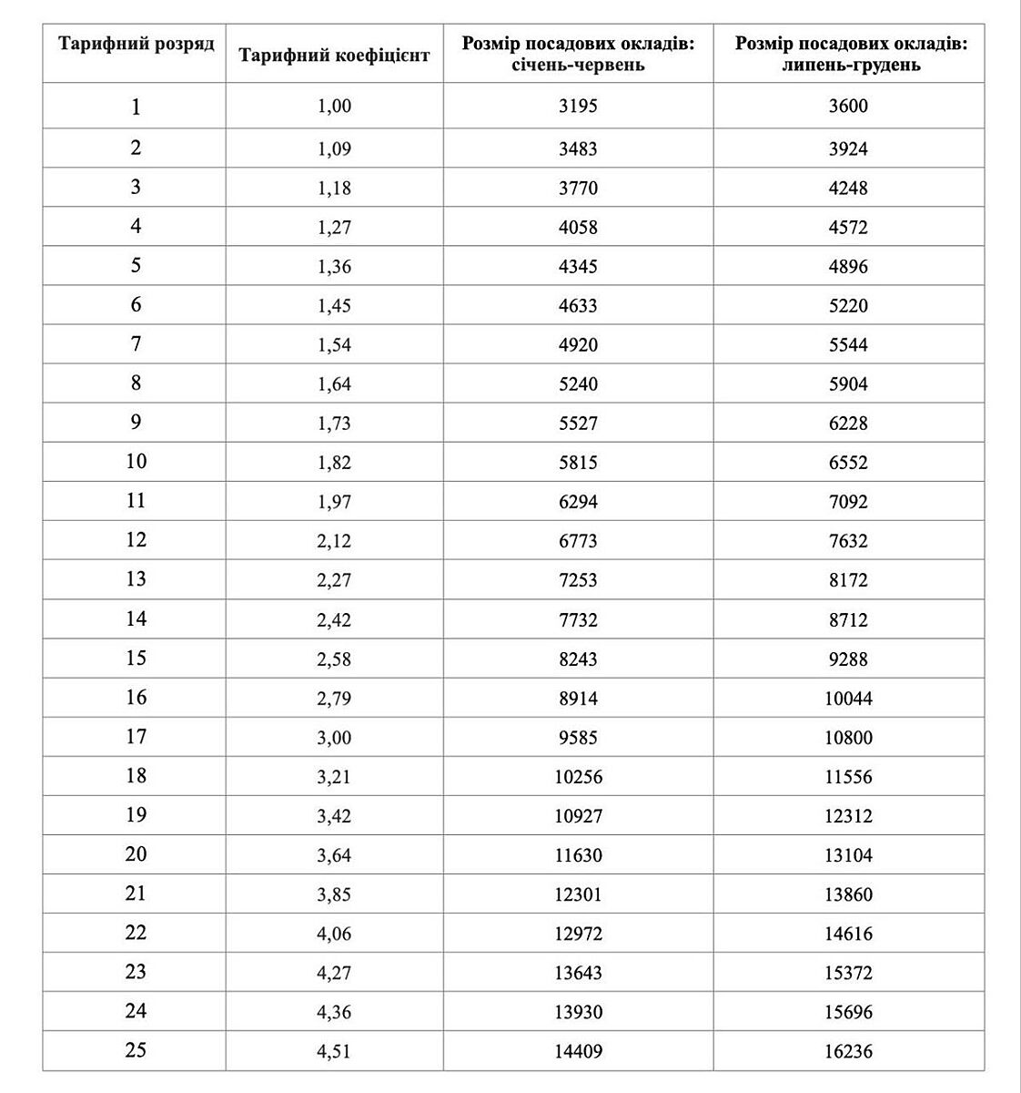
Вот, а у нас ставка дворника три тысячи, а специалиста с в/о в образование, культуре, медицине 6-8 тысяч, в итоге на руки получат одинаково, дворнику чуть больше доплатят до минималки. Позорная тарифная сетка!
Мнения, изложенные в теме, передают взгляды авторов и не отражают позицию Kidstaff
Похожие темы:
Назад Комментарии к ответу