sovetchitsa
Советчица
Вход Регистрация
Спросить Советую Промо публикация Поиск товара
Настройки
Язык меню: ru ua Шрифт: a a a
Служба поддержки
Вход Регистрация
Правила | Ограничения | Cookies
©2008—2025 Советчица Kidstaff
Советчица - Семья, Дом, Дети - Школа
noavatar
svehachka• Изменено 07 февраля в 20:33

Оцінка з алгебри 7 клас

Дуже прошу висловити думку вчителя з математики - чи справедливо виставлена оцінка 4 (по 12 бальній системі) за самостійну роботу. 3 завдання не встиг виконати
attached-photo
attached-photo
woman_facepalming 5
78 0
Все фото темыКомментарии автораМои ответы
  • 1
  • 2
  • 3
noavatar
SantaMonika• 07 февраля в 20:34
1
1 і 2 правильно ? Бо не розберу, якщо так, то справедливо було б 7 ( мені здається )
heart 2
noavatar
Натусик Я• 07 февраля в 20:34
2
Так, не розписав однорідні члени, не підкреслив що з чим групиє, які формули скорочені задіяв..Це з ГДЗ списано
woman_facepalming 3 heart 4
noavatar
Мerida• 07 февраля в 20:35
3
Ответы, без решения.
like 3
noavatar
автор svehachka • 07 февраля в 20:35
4
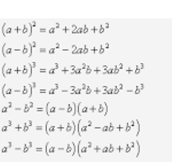
Ось так правильно, написала вчитель. Нічого не розписувала
attached-photo
noavatar
oksini80• 07 февраля в 20:36
5
Друге завдання невірно. Тобто з трьох лише одне вірно. Оцінка справедлива
heart 4
noavatar
meatlug• 07 февраля в 20:36
6
2 завдання зроблене неправильно.
Там квадрат різниці(суми), а не різниця(сума) квадратів.
like 2
noavatar
сладкий_ноябрь• 07 февраля в 20:37
7
Так в дитини лише 1 завдання зроблене вірно.
Друге ні. Там формули дитина не знає і приміряти їх не вміє
heart 4
noavatar
oksini80• 07 февраля в 20:37
8
Ответ дляsvehachka
Ось так правильно, написала вчитель. Нічого не розписувала
Там нічого розписувати. Формули застосовувати потрібно
attached-photo
face_with_tears_of_joy 1 heart 6
noavatar
meatlug• 07 февраля в 20:38
9
Коротко - оцінка відповідає роботі.
heart 4
noavatar
сладкий_ноябрь• 07 февраля в 20:38
10
Ответ дляsvehachka
Ось так правильно, написала вчитель. Нічого не розписувала
Ну все вірно.
В дитини 1 завдання з трьох.
12/3=4.
Хоча там навіть 4 багато. Бо 12 за таку роботу ставити не можна
heart 3
noavatar
автор svehachka • 07 февраля в 20:38
11
Дуже всім дякую за відповіді))) Як завжди советчица допомогає
heart 1 face_with_tears_of_joy 1
noavatar
valentyn_a• 07 февраля в 20:40
12
Ответ дляoksini80
Друге завдання невірно. Тобто з трьох лише одне вірно. Оцінка справедлива
чому друге неправильно?
noavatar
Аурелиа• 07 февраля в 20:41
13
Вчитель права, друге не вірне повністю
like 1
noavatar
Аурелиа• 07 февраля в 20:42
14
Ответ дляvalentyn_a
чому друге неправильно?
тому що це формула квадрата суми/різниці, а не різниці квадратів
noavatar
Натусик Я• 07 февраля в 20:42
15
Ответ дляoksini80
Там нічого розписувати. Формули застосовувати потрібно
Видно що списано.Наприклад в ,2 завданні не розписав що 16а2, це (4а)2.Т.б вчитель відразу бачить.Ну видно що списанне, особливо коли вчитель вимагає все розкласти.
І друге завдання не та формула скорочення
like 1
noavatar
автор svehachka • 07 февраля в 20:42
16
Мене збило з толку друге завдання, тому що там написано подати у вигляді добутку
noavatar
Аурелиа• 07 февраля в 20:43
17
Ответ дляsvehachka
Мене збило з толку друге завдання, тому що там написано подати у вигляді добутку
перше списане, це видно
noavatar
oksini80• 07 февраля в 20:44
18
Ответ дляvalentyn_a
чому друге неправильно?
Формули дивіться. Я дитині на картоні написала формули, він лише підставляв. Потім запамʼятав.
like 1
noavatar
автор svehachka • 07 февраля в 20:44
19
Ответ дляАурелиа
перше списане, це видно
А як Ви бачите що списано?
noavatar
valentyn_a• 07 февраля в 20:44
20
1 завдання:1*3=3б.
2 завдвння:2*3=6б
всього: 9 балів
якщо у перших двох завданнях навіть по 1 б. за приклад,і то 6б.
noavatar
сладкий_ноябрь• 07 февраля в 20:45
21
Ответ дляНатусик Я
Видно що списано.Наприклад в ,2 завданні не розписав що 16а2, це (4а)2.Т.б вчитель відразу бачить.Ну видно що списанне, особливо коли вчитель вимагає все розкласти.
І друге завдання не та формула скорочення
Там друге завдання взагалі інші формули
І це потрібно розписувати тим, хто не розуміє, а хто відразу бачить, то не потрібно.
А не зарахували не тому, що не розписано, тому, що ті формули
noavatar
Аурелиа• 07 февраля в 20:46
22
Ответ дляsvehachka
А як Ви бачите що списано?
томо що за такою формою пишуть в ГДЗ, якщо дитина знає формулу, то використовує її одразу без додаткового представлення в квадрати
heart 2
noavatar
сладкий_ноябрь• 07 февраля в 20:46
23
Ответ дляsvehachka
Мене збило з толку друге завдання, тому що там написано подати у вигляді добутку
А ви за дитину робили це завдання?
face_with_tears_of_joy 1
noavatar
valentyn_a• 07 февраля в 20:47
24
Ответ длясладкий_ноябрь
Там друге завдання взагалі інші формули
І це потрібно розписувати тим, хто не розуміє, а хто відразу бачить, то не потрібно.
А не зарахували не тому, що не розписано, тому, що ті формули
чому інші формули? у нього квадрат суми/різниці записаний у вигляді добутку,як і вимагає умова.
like 4
noavatar
автор svehachka • 07 февраля в 20:47
25
Ответ длясладкий_ноябрь
А ви за дитину робили це завдання?
Та ні, ось після роботи розбираємо
noavatar
Натусик Я• 07 февраля в 20:47
26
Ответ дляvalentyn_a
1 завдання:1*3=3б.
2 завдвння:2*3=6б
всього: 9 балів
якщо у перших двох завданнях навіть по 1 б. за приклад,і то 6б.
2 завдання все неправильно Не та формула скорочення.
noavatar
Лена Кор• 07 февраля в 20:50
27
Ответ дляАурелиа
тому що це формула квадрата суми/різниці, а не різниці квадратів
Так у нього однакові знаки в дужках. Треба було квадрат написати, а не добуток однакових множників.
noavatar
автор svehachka • 07 февраля в 20:50
28
Ответ дляvalentyn_a
чому інші формули? у нього квадрат суми/різниці записаний у вигляді добутку,як і вимагає умова.
Ось і я не розумію, чи зовсім вже все забула🤔
noavatar
valentyn_a• 07 февраля в 20:51
29
Ответ дляНатусик Я
2 завдання все неправильно Не та формула скорочення.
да канєєєшно)))
heart 1
noavatar
автор svehachka • 07 февраля в 20:52
30
Ответ дляЛена Кор
Так у нього однакові знаки в дужках. Треба було квадрат написати, а не добуток однакових множників.
Так в завданні написано подати у вигляді добутку
heart 1
  • 1
  • 2
  • 3
Мнения, изложенные в теме, передают взгляды авторов и не отражают позицию Kidstaff
Тема закрыта

Похожие темы:

Ще з цiкавого


Популярные вопросы!

Сегодня Вчера 7 дней 30 дней

ещё

Сейчас читают!

Назад Комментарии к ответу

О нас | Служба Поддержки | Помощь

Правила | Ограничения | Cookies ©2008—2025 Советчица Kidstaff