По последним данным ООН, в Украине более 10 миллионов украинцев сталкиваются с умеренной или серьезной нехваткой пищи.
В 2025 году повышение минимальной заработной платы в Украине не запланировано. Это подтвердил премьер-министр Украины Денис Шмигаль во время "Часа вопросов к Правительству" в Верховной Раде. Она будет оставаться на уровне 8 тысяч гривен. После уплаты налогов человек на руки получает 6160 гривен (148 долларов США ).
Это уже дно, или нет?
В 2025 году повышение минимальной заработной платы в Украине не запланировано. Это подтвердил премьер-министр Украины Денис Шмигаль во время "Часа вопросов к Правительству" в Верховной Раде. Она будет оставаться на уровне 8 тысяч гривен. После уплаты налогов человек на руки получает 6160 гривен (148 долларов США ).
Это уже дно, или нет?
показать весь текст
Результат:
вже голосів:
72
44 (61.11%)
Дно
20 (27.78%)
Это Зимбабве
8 (11.11%)
Да не, норм
2
2
11
Olenka_bum• 31 марта в 12:22
Ответ для Юлія-cc64
Где? Ссылка комментс.юа это не сайт юнисеф!
Подивіться навколо себе. Це краще цим посилання на якийсь сайт. Почніть з пенсіонерів та інвалідів.
4
арина-ветерок• 31 марта в 12:24
Ответ для Юлія-cc64
Працювати не пробовали?
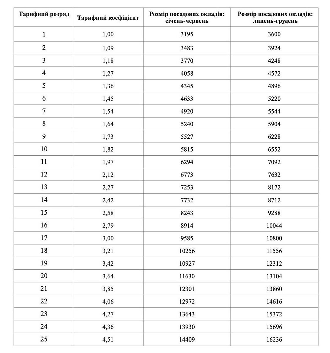
Я працюю.Стаж 35 років. Ставки в бюджеті (освіта, культура, медицина) дуже низькі, їх не підіймають більше трьох років. З першого по 14 розряд ставки менше мінімальної. Навіть з доплатою за вислугу років виходить дуже мало, трошки більше мінімалки. Ставки ж від прожиткового 3+ тисяч грн рахують, а не від мінімалки. Ось тарифна сітка, по першій колонці платять ставки. Обіцяли до другої підняти в минулому році, але відмінили й це малюсіньке підвищення.
3
Ответ дляOllka
Знаю одну люлину лише, яка не доїдає - одинока бабуся в трьошці 120 метрів в Києві.
Про трьошку написала, щоб розмір комуналки був зрозумілим. А субсидія через метри мала.
Її сусіди годують.
Всі інші нормально харчуються, навіть пенсіонери. В тому сенсі, що голодні не ходять. Різноманітного меню немає звичайно, але щоб голодували - не знаю такого.
Про трьошку написала, щоб розмір комуналки був зрозумілим. А субсидія через метри мала.
Її сусіди годують.
Всі інші нормально харчуються, навіть пенсіонери. В тому сенсі, що голодні не ходять. Різноманітного меню немає звичайно, але щоб голодували - не знаю такого.
А при чем здесь голодные к полноценному питанию? Можно стоптать булку хлеба, и быть сытее всех сытых. Но это не есть нормально
5
Ответ дляElmyska
А при чем здесь голодные к полноценному питанию? Можно стоптать булку хлеба, и быть сытее всех сытых. Но это не есть нормально
Я про це писала, якщо ви не побачили.
Не бачила таких, хто одним хлібом харчується.
Тобто вони є, але не 10 млн, тобто не третина тих хто в Україні зараз
Не бачила таких, хто одним хлібом харчується.
Тобто вони є, але не 10 млн, тобто не третина тих хто в Україні зараз
1
2
Ответ дляOllka
Я про це писала, якщо ви не побачили.
Не бачила таких, хто одним хлібом харчується.
Тобто вони є, але не 10 млн, тобто не третина тих хто в Україні зараз
Не бачила таких, хто одним хлібом харчується.
Тобто вони є, але не 10 млн, тобто не третина тих хто в Україні зараз
Ну давайте положа руку на сердце, думаете многие семьи могут позволить себе говядину за 300грн/кг, карпа за 300 грн за рыбешку (на один ужин), овощи /фрукты ежедневно (качан капусты 100 грн) , не говоря уже про помидоры/огурцы, которые летом кстати не на много дешевле были, чем сейчас. На полноценное питание на троих, нужно не менее 20 тыс, это я думаю впритык , а так 25-30. Многие могут себе это позволить? Каши/макароны/ курица/свекла/капуста/яблоки -это стандартный бюджетный набор
1
4
Ответ дляOllka
Знаю одну люлину лише, яка не доїдає - одинока бабуся в трьошці 120 метрів в Києві.
Про трьошку написала, щоб розмір комуналки був зрозумілим. А субсидія через метри мала.
Її сусіди годують.
Всі інші нормально харчуються, навіть пенсіонери. В тому сенсі, що голодні не ходять. Різноманітного меню немає звичайно, але щоб голодували - не знаю такого.
Про трьошку написала, щоб розмір комуналки був зрозумілим. А субсидія через метри мала.
Її сусіди годують.
Всі інші нормально харчуються, навіть пенсіонери. В тому сенсі, що голодні не ходять. Різноманітного меню немає звичайно, але щоб голодували - не знаю такого.
Що заважає бабці продати хату? Або взяти квартирантів? Помирати з голоду в 120 метрах це уже фіаско.
1
Ответ дляElmyska
Ну давайте положа руку на сердце, думаете многие семьи могут позволить себе говядину за 300грн/кг, карпа за 300 грн за рыбешку (на один ужин), овощи /фрукты ежедневно (качан капусты 100 грн) , не говоря уже про помидоры/огурцы, которые летом кстати не на много дешевле были, чем сейчас. На полноценное питание на троих, нужно не менее 20 тыс, это я думаю впритык , а так 25-30. Многие могут себе это позволить? Каши/макароны/ курица/свекла/капуста/яблоки -это стандартный бюджетный набор
У нас на трьох повноцінного харчування, з рибою, сирами, овочами, фруктами йде 15-17 тис + кафешки на вихідних, але там більше смаколики.
Подивилась в аналізі витрат моїх і чоловіка по картам.
Тема ж про голодування. Про те, що третині українців їжі не вистачає.
Тобто ви пишете, що кожен третій у вас в оточенні голодує? Не просто не їсть смачне, а саме не вистачає на їжу людям?
Подивилась в аналізі витрат моїх і чоловіка по картам.
Тема ж про голодування. Про те, що третині українців їжі не вистачає.
Тобто ви пишете, що кожен третій у вас в оточенні голодує? Не просто не їсть смачне, а саме не вистачає на їжу людям?
2
Бессмертный пони• 31 марта в 12:43
Ответ дляарина-ветерок
Я працюю.Стаж 35 років. Ставки в бюджеті (освіта, культура, медицина) дуже низькі, їх не підіймають більше трьох років. З першого по 14 розряд ставки менше мінімальної. Навіть з доплатою за вислугу років виходить дуже мало, трошки більше мінімалки. Ставки ж від прожиткового 3+ тисяч грн рахують, а не від мінімалки. Ось тарифна сітка, по першій колонці платять ставки. Обіцяли до другої підняти в минулому році, але відмінили й це малюсіньке підвищення.
Работу сменить ?
Ответ дляOlenka_bum
Подивіться навколо себе. Це краще цим посилання на якийсь сайт. Почніть з пенсіонерів та інвалідів.
Я і дивлюсь. Мама пенсіонер з пенсією 3500. На дачі кожне літо, щось вирощує. за дитиною моєб слідкує поки я на роботі - я їй оплачую цю роботу.
Так що не треба тут кацапське всьопропало розводити . Для тих, хто хоче - завжди є робота. А для тих, хто хоче на дивані сидіти і рожати кожен рік , сидячи на шиї у тих, хто працює і платить податки - дійсно все погано. Бо навіть в селі, де немає роботи, люди мають хазяйство і не бідкаються.
Так що не треба тут кацапське всьопропало розводити . Для тих, хто хоче - завжди є робота. А для тих, хто хоче на дивані сидіти і рожати кожен рік , сидячи на шиї у тих, хто працює і платить податки - дійсно все погано. Бо навіть в селі, де немає роботи, люди мають хазяйство і не бідкаються.
2
1
Ответ дляарина-ветерок
Я працюю.Стаж 35 років. Ставки в бюджеті (освіта, культура, медицина) дуже низькі, їх не підіймають більше трьох років. З першого по 14 розряд ставки менше мінімальної. Навіть з доплатою за вислугу років виходить дуже мало, трошки більше мінімалки. Ставки ж від прожиткового 3+ тисяч грн рахують, а не від мінімалки. Ось тарифна сітка, по першій колонці платять ставки. Обіцяли до другої підняти в минулому році, але відмінили й це малюсіньке підвищення.
Чому не шукаєте іншу роботу, не шукаєте інші можливості?
1
Ответ дляOllka
У нас на трьох повноцінного харчування, з рибою, сирами, овочами, фруктами йде 15-17 тис + кафешки на вихідних, але там більше смаколики.
Подивилась в аналізі витрат моїх і чоловіка по картам.
Тема ж про голодування. Про те, що третині українців їжі не вистачає.
Тобто ви пишете, що кожен третій у вас в оточенні голодує? Не просто не їсть смачне, а саме не вистачає на їжу людям?
Подивилась в аналізі витрат моїх і чоловіка по картам.
Тема ж про голодування. Про те, що третині українців їжі не вистачає.
Тобто ви пишете, що кожен третій у вас в оточенні голодує? Не просто не їсть смачне, а саме не вистачає на їжу людям?
Для меня голод, это не полноценное питание. Это когда родители, не способны прокормить детей полноценно, это когда дети изо дня в день едят курицу (и таких семей большинство)
Ответ дляElmyska
Для меня голод, это не полноценное питание. Это когда родители, не способны прокормить детей полноценно, это когда дети изо дня в день едят курицу (и таких семей большинство)
Тю... я ем курицу каждый день. Это плохо? Не люблю ни говядину, ни свинину.
2
Olenka_bum• 31 марта в 12:48
Ответ для Юлія-cc64
Я і дивлюсь. Мама пенсіонер з пенсією 3500. На дачі кожне літо, щось вирощує. за дитиною моєб слідкує поки я на роботі - я їй оплачую цю роботу.
Так що не треба тут кацапське всьопропало розводити . Для тих, хто хоче - завжди є робота. А для тих, хто хоче на дивані сидіти і рожати кожен рік , сидячи на шиї у тих, хто працює і платить податки - дійсно все погано. Бо навіть в селі, де немає роботи, люди мають хазяйство і не бідкаються.
Так що не треба тут кацапське всьопропало розводити . Для тих, хто хоче - завжди є робота. А для тих, хто хоче на дивані сидіти і рожати кожен рік , сидячи на шиї у тих, хто працює і платить податки - дійсно все погано. Бо навіть в селі, де немає роботи, люди мають хазяйство і не бідкаються.
Я так розумію, що у вас позиція, ’якщо чиясь думка не співпадає з вашою, то це кацапське іпсо’?
Невже у всіх пенсіонерів є дачі? Та діти, що платять за послуги няньки?
Невже у всіх пенсіонерів є дачі? Та діти, що платять за послуги няньки?
3
Ответ для Юлія-cc64
Я і дивлюсь. Мама пенсіонер з пенсією 3500. На дачі кожне літо, щось вирощує. за дитиною моєб слідкує поки я на роботі - я їй оплачую цю роботу.
Так що не треба тут кацапське всьопропало розводити . Для тих, хто хоче - завжди є робота. А для тих, хто хоче на дивані сидіти і рожати кожен рік , сидячи на шиї у тих, хто працює і платить податки - дійсно все погано. Бо навіть в селі, де немає роботи, люди мають хазяйство і не бідкаються.
Так що не треба тут кацапське всьопропало розводити . Для тих, хто хоче - завжди є робота. А для тих, хто хоче на дивані сидіти і рожати кожен рік , сидячи на шиї у тих, хто працює і платить податки - дійсно все погано. Бо навіть в селі, де немає роботи, люди мають хазяйство і не бідкаються.
А сколько вы ей оплачиваете? Т.е вы считаете нормальными условия, когда мама не в состоянии себя прокормить на эту пенсию, и за то, что нянчится с внуком и вы ей подкидываете денег? Лично для меня было бы унижением так жить в старости. Безнадега
1
Ответ дляElmyska
Для меня голод, это не полноценное питание. Это когда родители, не способны прокормить детей полноценно, это когда дети изо дня в день едят курицу (и таких семей большинство)
Ну и более того... зная, что ты не можешь прокормить детей рожать... такая себе идея
Ответ дляOlenka_bum
Я так розумію, що у вас позиція, ’якщо чиясь думка не співпадає з вашою, то це кацапське іпсо’?
Невже у всіх пенсіонерів є дачі? Та діти, що платять за послуги няньки?
Невже у всіх пенсіонерів є дачі? Та діти, що платять за послуги няньки?
Дітей немає, є сусіди, є інші можливості. Було б бажання. Серед подруг млєї мами немає жодної, яка голодує.
. Хто хоче - шукає можливості. Хто не хоче - виправдання.
. Хто хоче - шукає можливості. Хто не хоче - виправдання.
1
Ответ для Юлія-cc64
Я і дивлюсь. Мама пенсіонер з пенсією 3500. На дачі кожне літо, щось вирощує. за дитиною моєб слідкує поки я на роботі - я їй оплачую цю роботу.
Так що не треба тут кацапське всьопропало розводити . Для тих, хто хоче - завжди є робота. А для тих, хто хоче на дивані сидіти і рожати кожен рік , сидячи на шиї у тих, хто працює і платить податки - дійсно все погано. Бо навіть в селі, де немає роботи, люди мають хазяйство і не бідкаються.
Так що не треба тут кацапське всьопропало розводити . Для тих, хто хоче - завжди є робота. А для тих, хто хоче на дивані сидіти і рожати кожен рік , сидячи на шиї у тих, хто працює і платить податки - дійсно все погано. Бо навіть в селі, де немає роботи, люди мають хазяйство і не бідкаються.
А зимой на 3500?
1
Ответ дляElmyska
А сколько вы ей оплачиваете? Т.е вы считаете нормальными условия, когда мама не в состоянии себя прокормить на эту пенсию, и за то, что нянчится с внуком и вы ей подкидываете денег? Лично для меня было бы унижением так жить в старости. Безнадега
А ну тихо! Речь была о статье юнисеф! Хватит отвлекать от темы. Мы всей советчицей ждём ссылку на оф.данные Юнисеф. Где ссылка?
3
арина-ветерок• 31 марта в 12:53
Ответ для Юлія-cc64
Чому не шукаєте іншу роботу, не шукаєте інші можливості?
За кілька років до пенсії де мене візьмуть, щоб перевчитись на іншу професію вже пізно, фізичного здоров`я немає. Тай справва ж не тільки в мені, у всіх хто в бюджеті працює така ситуація. А роботу ми виконуємо людям потрібну, бабусі й дідусі потоком йдуть і плачуть, що ми для них єдина відрада і спілкування. Як їх покинути? Майже нічого нема безкоштовного для людей, а під вибухами їм це життєво необхідно, хоч якось психіку розвантажувати.
До війни, враховуючи ціни нижчі в рази, і регулярне хоч потрошку підвищення, на скромне життя вистачало. Хто ж знав, що можуть роками не підіймати прожитковий і зарплати при такій величезній інфляції.
До війни, враховуючи ціни нижчі в рази, і регулярне хоч потрошку підвищення, на скромне життя вистачало. Хто ж знав, що можуть роками не підіймати прожитковий і зарплати при такій величезній інфляції.
1
2
арина-ветерок• 31 марта в 12:56
Ответ для Юлія-cc64
Дітей немає, є сусіди, є інші можливості. Було б бажання. Серед подруг млєї мами немає жодної, яка голодує.
. Хто хоче - шукає можливості. Хто не хоче - виправдання.
. Хто хоче - шукає можливості. Хто не хоче - виправдання.
Ваша мама молода. Пенсіонери до 70 майже всі працюють, якщо є здоров`я. Але ж пенсіонерів багато в віці 75-90, які вже не можуть працювати. Моїй 83, вона хворіє на Паркінсон, пенсія малюсінька. Що вона може зробити. Добре хоч ліки проти Паркінсону держава дає безкоштовно.
Бессмертный пони• 31 марта в 12:58
Ответ дляарина-ветерок
За кілька років до пенсії де мене візьмуть, щоб перевчитись на іншу професію вже пізно, фізичного здоров`я немає. Тай справва ж не тільки в мені, у всіх хто в бюджеті працює така ситуація. А роботу ми виконуємо людям потрібну, бабусі й дідусі потоком йдуть і плачуть, що ми для них єдина відрада і спілкування. Як їх покинути? Майже нічого нема безкоштовного для людей, а під вибухами їм це життєво необхідно, хоч якось психіку розвантажувати.
До війни, враховуючи ціни нижчі в рази, і регулярне хоч потрошку підвищення, на скромне життя вистачало. Хто ж знав, що можуть роками не підіймати прожитковий і зарплати при такій величезній інфляції.
До війни, враховуючи ціни нижчі в рази, і регулярне хоч потрошку підвищення, на скромне життя вистачало. Хто ж знав, що можуть роками не підіймати прожитковий і зарплати при такій величезній інфляції.
Сейчас расплачусь ...
2
Ответ дляарина-ветерок
За кілька років до пенсії де мене візьмуть, щоб перевчитись на іншу професію вже пізно, фізичного здоров`я немає. Тай справва ж не тільки в мені, у всіх хто в бюджеті працює така ситуація. А роботу ми виконуємо людям потрібну, бабусі й дідусі потоком йдуть і плачуть, що ми для них єдина відрада і спілкування. Як їх покинути? Майже нічого нема безкоштовного для людей, а під вибухами їм це життєво необхідно, хоч якось психіку розвантажувати.
До війни, враховуючи ціни нижчі в рази, і регулярне хоч потрошку підвищення, на скромне життя вистачало. Хто ж знав, що можуть роками не підіймати прожитковий і зарплати при такій величезній інфляції.
До війни, враховуючи ціни нижчі в рази, і регулярне хоч потрошку підвищення, на скромне життя вистачало. Хто ж знав, що можуть роками не підіймати прожитковий і зарплати при такій величезній інфляції.
Тобто ви страждаєте і поклали все життя на благодійність заради бабусь і дідусів, які до вас плакати ходять? Кому ж вони ще поплачуть, якщо я знайду гарну роботу, пофігу що я все життя на межі ? Це або: психологічне відхилення , або ви маєте вторинні вигоди
1
2
Мнения, изложенные в теме, передают взгляды авторов и не отражают позицию Kidstaff
Тема закрыта
Похожие темы:
Назад Комментарии к ответу