Фіфачка• 12 августа в 22:22
Я создавала недавно тему. Моя дочь поступила на библиотекаря
Специальность называется бібліотечна архівна та інформаційна справа. Сколько было моих уговоров подождать до следующего года и выбрать нормальную специальность, все без толку. Муж ее поддержал, ее жизнь почему я лезу пусть сама решает. Ей 16 лет в ее возрасте она не может трезво оценить ситуацию. Буду только надеяться что к следующему году поумнеет и выберет нормальную специальность. У всех дети пошли на психологов, юристов, филологов а моя библиотекарь с хорошим баллом НМТ и способностями к учебе
показать весь текст
13
9
37
1
автор
Фіфачка
• 12 августа в 22:43
Ответ дляБанан-барабан
Автор а толку від тих економістів і юристів
У них хоть зп норм, в отличие от библиотекаря. Я не видела бедных юристов, а вот библиотекарей полно
5
7
2
Конотопська відьма• 12 августа в 22:44
Ответ длягодовасик
у вас должна быть выслуга 50% еще могут быть доплати до 50% плюс премия
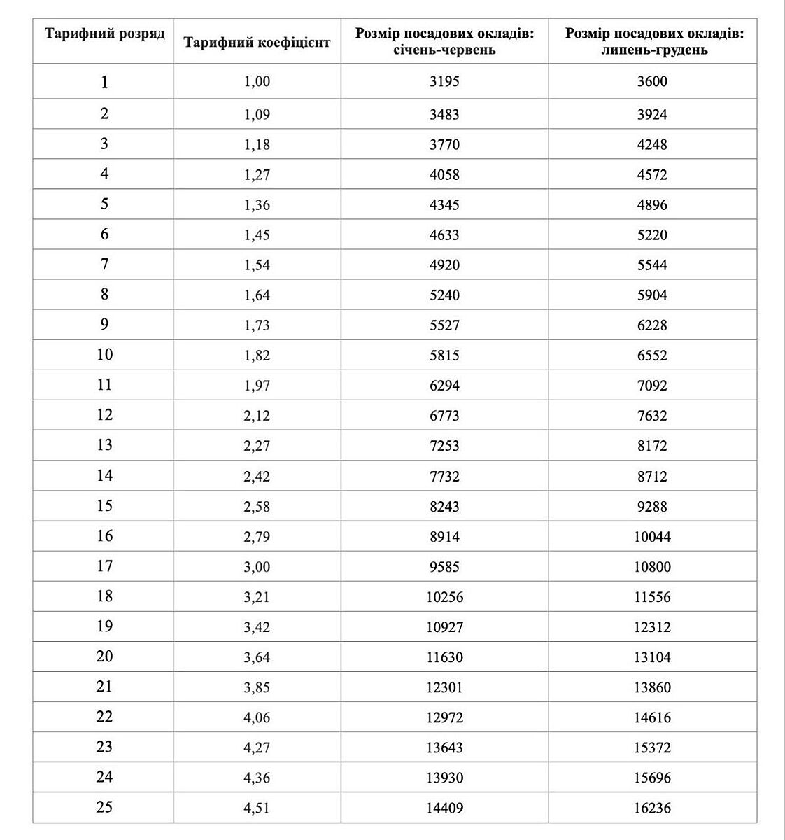
Это уже со всеми надбавками. Ставка у меня 7253 грязными, 13 разряд. Максимальная выслуга лет 30 процентов, больше не бывает. А Юлькины 50 процентов уже давно не платят, давно ввели до 50 процентов в пределах фонда оплаты труда, платят не 50, а то 5, то 10. Не выделяют достаточно денег, хоть и работает меньше половины сотрудников от довоенного количества. Всем бюджетникам ставки платят по первой колонке. Это в 24 году должны были повысить до второй колонки, но отменили это повышение, решили , что и так слишком жирно.
1
5
Оле Лукойе• 12 августа в 22:44
Ответ дляФіфачка
Смысл такого образования? Зачем учиться в университете чтобы потом получать минимальку, ее можно и без образования получать. Зачем тратить 4 года жизни на это? Я была готова оплачивать контракт, лишь бы она выбрала нормальную специальность
Вы и тогда не сказали, какую специальность считаете нормальной. Для меня юрист из-под палки, типа мама выучила на контракте, еще хуже, чем библиотекарь по желанию. Потому что толку от такого юриста, как с козла молока
6
Умничка-помощничка• 12 августа в 22:44
Ответ дляЛюблю кетчуп
Автор, у меня есть подруга, которая мечтала быть юристом. Но прошла бесплатно только в институт культуры на историка-музееведа. Звучит смешно, но она вышла замуж и получила второе высшее юридическое. И все у нее хорошо сложилось. Кстати у нас в банке половина образования гуманитарное. Я думаю к 21-22 она все себе решит
А моя одноклассница закончила педин , а работать пошла еще в прошлое время в милицию. Теперь в каком-то высоком звании , очень важная персона
годовасик• 12 августа в 22:45
Ответ дляКонотопська відьма
Это уже со всеми надбавками. Ставка у меня 7253 грязными, 13 разряд. Максимальная выслуга лет 30 процентов, больше не бывает. А Юлькины 50 процентов уже давно не платят, давно ввели до 50 процентов в пределах фонда оплаты труда, платят не 50, а то 5, то 10. Не выделяют достаточно денег, хоть и работает меньше половины сотрудников от довоенного количества. Всем бюджетникам ставки платят по первой колонке. Это в 24 году должны были повысить до второй колонки, но отменили это повышение, решили , что и так слишком жирно.
Я бухгалтер и у меня 10 розряд)
2
Оле Лукойе• 12 августа в 22:46
Ответ дляФіфачка
За знания не платят, при устройстве на работу в первую очередь спрашивают диплом
Вы хоть раз устраивались на работу? Если только вы не врач или педагог
4
автор
Фіфачка
• 12 августа в 22:46
Ответ дляОле Лукойе
Вы и тогда не сказали, какую специальность считаете нормальной. Для меня юрист из-под палки, типа мама выучила на контракте, еще хуже, чем библиотекарь по желанию. Потому что толку от такого юриста, как с козла молока
Я выше уже писала, тот же психолог консультации от 1000 грн и выше , врач, филолог
1
Банан-барабан• 12 августа в 22:47
Ответ дляФіфачка
У них хоть зп норм, в отличие от библиотекаря. Я не видела бедных юристов, а вот библиотекарей полно
Моя двоюрідна сестра закінчила школу із відзнакою, срібна медаль. Чудово знає математику, англійську, я їй радила обрати щось звʼязане із айті. Але вона дуже хотіла на юриста. Тепер дуже сильно розчарована, конкуренція дуже висока, без звʼязків там немає що робити. Зараз взагалі за кордоном, зарплата хороша але праця не кваліфікована, думає що робити далі
2
Любительница• 12 августа в 22:48
Ответ дляФіфачка
Смысл такого образования? Зачем учиться в университете чтобы потом получать минимальку, ее можно и без образования получать. Зачем тратить 4 года жизни на это? Я была готова оплачивать контракт, лишь бы она выбрала нормальную специальность
Слушайте, ну монетизировать можно любую профессию.
Вы, кстати, нормальную специальность получили и сколько в итоге зарабатываете?
Вы, кстати, нормальную специальность получили и сколько в итоге зарабатываете?
2
Оле Лукойе• 12 августа в 22:49
Ответ дляФіфачка
Я выше уже писала, тот же психолог консультации от 1000 грн и выше , врач, филолог
Серьезно? Много вы знаете филологов, которым по косарю платят за консультацию? И в чем их экспертность, кому нужны их консультации?
6
2
Банан-барабан• 12 августа в 22:50
Ответ дляФіфачка
Я выше уже писала, тот же психолог консультации от 1000 грн и выше , врач, филолог
Щоб платили стільки за консультацію потрібне імʼя і досвід і такі сучасні реалії що і реклама себе. Тому що є шкільні психологи та ще в різних установах і ніхто їм тисячі не платить
8
Люблю кетчуп• 12 августа в 22:50
Ответ дляУмничка-помощничка
А моя одноклассница закончила педин , а работать пошла еще в прошлое время в милицию. Теперь в каком-то высоком звании , очень важная персона
Я хотела поступить на банковское дело, а прошла на экономический. В итоге все равно пошла в банк и доросла до директора департамента с отличной зарплатой. Тут либо душа лежит, либо нет. Преуспеть можно и слесарем сантехником
КараПузовна• 12 августа в 22:51
Ответ дляКонотопська відьма
у вас наверно супруг хорошо зарабатывает, так как на эту зарплату сложно выжить.
Любительница• 12 августа в 22:51
Ответ дляФіфачка
У них хоть зп норм, в отличие от библиотекаря. Я не видела бедных юристов, а вот библиотекарей полно
Вы не видели бедных юристов, потому что 80% из них работают не по специальности. У нас вот на предприятии одна юрист в снабжении работает, а вторая менеджер по продажам. Это только те, о чьих дипломах юристов я в курсе.
А и, кстати, я, финансист, тоже работаю не по специальности. Потому что забебала меня работа в банке
А и, кстати, я, финансист, тоже работаю не по специальности. Потому что забебала меня работа в банке
6
Коренная киевлянка• 12 августа в 22:52
Моя меня сейчас пилит сидит, что я ей не дала поступить куда хочет, в актерскую школу. В ее представлении все актеры сразу в Голливуде. Мы еще за границей, в итоге взяла таймаут подумать и пошла в гимназию. Сын ее поддержал , что ему я тоже не дала стать скульптором.Мол это была бы ее ошибка. Но мы бомжы с голой жопой, некогда нам ошибки делать
5
Миловидна леді• 12 августа в 22:58
Можете показать моё сообщение дочери.
Моя мама библиотекарь. ЗП копейки. 6500. Те, кто работает там 40 лет получают до 10 за ’выслугу’.
Может Ваша дочь любит читать? Но нет, там не читают. Там пишут. Целыми днями пишут бланки читателей. Вписывают левых, читателям, которые не ходят вписывают книги. А все потому что у библиотек есть ПЛАН 🤯🙈 тоесть в день в бибоиотеку должно прийти, допустим, 80 человек. А в реальности приходит 5-10. И вот эти 80 человек делят на, к примеру, 4 работника. По 20 человек на каждого. Это значит, что им нужно взять 20 бланков читателей и написать каждому по 2-3 книги. Потом через время вычеркнуть, написать новые. И это нужно делать не постоянным, а ’мертвым душам’. Далее. Все переходит ДОПОЛНИТЕЛЬНО, не вместо, в электронный вариант. И помимо всего этого бреда-писанины нужно заполнять таблицы.. например, сейчас списывают русские книги. Каждому нужно списать 200 книг, образно. И вот берёшь одну книгу, вносишь в таблицу все данные по ней и так по очереди... дальше пыль. Это постоянная аллергия даже не у аллергика. Постоянное першение в горле и течёт из носа не переставая... санитарный день. Раз в месяц работники моют библиотеку сами. Коллектив пенсионеров. Это реально работа для пенсионеров. В дополнение к пенсии, моей маме ок. Ну и физически не тяжёлая работа.. а, ну и праздники. За это не доплачивают. Но очень заставляют проводить постоянно мероприятия. То выставки, то концерты.. если это работа мечты Вашей дочери, то почему нет. Её выбор. Да, в Киеве можно заработать чуть больше. До 10-15 тысяч максимум. Но НЕ в областной. Там зп области - 6500
Моя мама библиотекарь. ЗП копейки. 6500. Те, кто работает там 40 лет получают до 10 за ’выслугу’.
Может Ваша дочь любит читать? Но нет, там не читают. Там пишут. Целыми днями пишут бланки читателей. Вписывают левых, читателям, которые не ходят вписывают книги. А все потому что у библиотек есть ПЛАН 🤯🙈 тоесть в день в бибоиотеку должно прийти, допустим, 80 человек. А в реальности приходит 5-10. И вот эти 80 человек делят на, к примеру, 4 работника. По 20 человек на каждого. Это значит, что им нужно взять 20 бланков читателей и написать каждому по 2-3 книги. Потом через время вычеркнуть, написать новые. И это нужно делать не постоянным, а ’мертвым душам’. Далее. Все переходит ДОПОЛНИТЕЛЬНО, не вместо, в электронный вариант. И помимо всего этого бреда-писанины нужно заполнять таблицы.. например, сейчас списывают русские книги. Каждому нужно списать 200 книг, образно. И вот берёшь одну книгу, вносишь в таблицу все данные по ней и так по очереди... дальше пыль. Это постоянная аллергия даже не у аллергика. Постоянное першение в горле и течёт из носа не переставая... санитарный день. Раз в месяц работники моют библиотеку сами. Коллектив пенсионеров. Это реально работа для пенсионеров. В дополнение к пенсии, моей маме ок. Ну и физически не тяжёлая работа.. а, ну и праздники. За это не доплачивают. Но очень заставляют проводить постоянно мероприятия. То выставки, то концерты.. если это работа мечты Вашей дочери, то почему нет. Её выбор. Да, в Киеве можно заработать чуть больше. До 10-15 тысяч максимум. Но НЕ в областной. Там зп области - 6500
3
1
7
Ананомчикус• 12 августа в 22:58
Невже в цьому світі ще є люди які вважають, що корочка вагомо впливає на подальшу долю? Авторе, видихніть і радійте за дитину)
Поділюсь історією: я навчалась у юр ліцеї і мій однокласник потайки від мами, бо вона була дуже проти вступив у духовну семінарію, а не на юриста, як вона мріяла. Їх відносини тоді дуже зіпсувались, мама не прийняла вибір. Наразі пройшло більше 15 років він служить і виглядає цілком щасливою людиною, каже, що на своєму місці.
І з мого професійного досвіду: якщо це не лікар, адвокат і т п, до лампочки який диплом. Завжди можна пройти кваліфікаційні курси, тренінги і працювати за нормальні гроші.
Можливо ваша дочка взагалі книгарню, наприклад, свою відкриє 😉
Поділюсь історією: я навчалась у юр ліцеї і мій однокласник потайки від мами, бо вона була дуже проти вступив у духовну семінарію, а не на юриста, як вона мріяла. Їх відносини тоді дуже зіпсувались, мама не прийняла вибір. Наразі пройшло більше 15 років він служить і виглядає цілком щасливою людиною, каже, що на своєму місці.
І з мого професійного досвіду: якщо це не лікар, адвокат і т п, до лампочки який диплом. Завжди можна пройти кваліфікаційні курси, тренінги і працювати за нормальні гроші.
Можливо ваша дочка взагалі книгарню, наприклад, свою відкриє 😉
2
5
Пес Патрон• 12 августа в 22:59
Ответ дляФіфачка
За границей зп норм, а у нас в Украине мизер
Оплачивайте репетитора по языку за те деньги, которые хотели за контракт платить, найдет с дипломом и хорошим языком работу за границей.
Миловидна леді• 12 августа в 22:59
Ответ дляКонотопська відьма
Это уже со всеми надбавками. Ставка у меня 7253 грязными, 13 разряд. Максимальная выслуга лет 30 процентов, больше не бывает. А Юлькины 50 процентов уже давно не платят, давно ввели до 50 процентов в пределах фонда оплаты труда, платят не 50, а то 5, то 10. Не выделяют достаточно денег, хоть и работает меньше половины сотрудников от довоенного количества. Всем бюджетникам ставки платят по первой колонке. Это в 24 году должны были повысить до второй колонки, но отменили это повышение, решили , что и так слишком жирно.
Да, Юлькины не платят. И оздоровительные+отпускные пришли около 6000 тыс 🤷♀️
Конотопська відьма• 12 августа в 23:01
Ответ дляКараПузовна
у вас наверно супруг хорошо зарабатывает, так как на эту зарплату сложно выжить.
До войны зарплата была нормальной, даже выше , чем сейчас, так как надбавки платили в полном объеме. Но, учитывая что уже больше четырех лет зарплату не повышают, а цены выросли в 2-3 раза, действительно выживать очень сложно.
Міряно-переміряно• 12 августа в 23:03
Ответ дляФіфачка
Смысл такого образования? Зачем учиться в университете чтобы потом получать минимальку, ее можно и без образования получать. Зачем тратить 4 года жизни на это? Я была готова оплачивать контракт, лишь бы она выбрала нормальную специальность
Ви так і не написали чого досягли зі своєю освітою
1
Миловидна леді• 12 августа в 23:03
Ответ дляКонотопська відьма
До войны зарплата была нормальной, даже выше , чем сейчас, так как надбавки платили в полном объеме. Но, учитывая что уже больше четырех лет зарплату не повышают, а цены выросли в 2-3 раза, действительно выживать очень сложно.
100%. Подписываюсь под каждым словом. Реально выжить только благодаря пенсии и впо. Ну и работающего мужа.
годовасик• 12 августа в 23:05
Ответ дляМиловидна леді
Можете показать моё сообщение дочери.
Моя мама библиотекарь. ЗП копейки. 6500. Те, кто работает там 40 лет получают до 10 за ’выслугу’.
Может Ваша дочь любит читать? Но нет, там не читают. Там пишут. Целыми днями пишут бланки читателей. Вписывают левых, читателям, которые не ходят вписывают книги. А все потому что у библиотек есть ПЛАН 🤯🙈 тоесть в день в бибоиотеку должно прийти, допустим, 80 человек. А в реальности приходит 5-10. И вот эти 80 человек делят на, к примеру, 4 работника. По 20 человек на каждого. Это значит, что им нужно взять 20 бланков читателей и написать каждому по 2-3 книги. Потом через время вычеркнуть, написать новые. И это нужно делать не постоянным, а ’мертвым душам’. Далее. Все переходит ДОПОЛНИТЕЛЬНО, не вместо, в электронный вариант. И помимо всего этого бреда-писанины нужно заполнять таблицы.. например, сейчас списывают русские книги. Каждому нужно списать 200 книг, образно. И вот берёшь одну книгу, вносишь в таблицу все данные по ней и так по очереди... дальше пыль. Это постоянная аллергия даже не у аллергика. Постоянное першение в горле и течёт из носа не переставая... санитарный день. Раз в месяц работники моют библиотеку сами. Коллектив пенсионеров. Это реально работа для пенсионеров. В дополнение к пенсии, моей маме ок. Ну и физически не тяжёлая работа.. а, ну и праздники. За это не доплачивают. Но очень заставляют проводить постоянно мероприятия. То выставки, то концерты.. если это работа мечты Вашей дочери, то почему нет. Её выбор. Да, в Киеве можно заработать чуть больше. До 10-15 тысяч максимум. Но НЕ в областной. Там зп области - 6500
Моя мама библиотекарь. ЗП копейки. 6500. Те, кто работает там 40 лет получают до 10 за ’выслугу’.
Может Ваша дочь любит читать? Но нет, там не читают. Там пишут. Целыми днями пишут бланки читателей. Вписывают левых, читателям, которые не ходят вписывают книги. А все потому что у библиотек есть ПЛАН 🤯🙈 тоесть в день в бибоиотеку должно прийти, допустим, 80 человек. А в реальности приходит 5-10. И вот эти 80 человек делят на, к примеру, 4 работника. По 20 человек на каждого. Это значит, что им нужно взять 20 бланков читателей и написать каждому по 2-3 книги. Потом через время вычеркнуть, написать новые. И это нужно делать не постоянным, а ’мертвым душам’. Далее. Все переходит ДОПОЛНИТЕЛЬНО, не вместо, в электронный вариант. И помимо всего этого бреда-писанины нужно заполнять таблицы.. например, сейчас списывают русские книги. Каждому нужно списать 200 книг, образно. И вот берёшь одну книгу, вносишь в таблицу все данные по ней и так по очереди... дальше пыль. Это постоянная аллергия даже не у аллергика. Постоянное першение в горле и течёт из носа не переставая... санитарный день. Раз в месяц работники моют библиотеку сами. Коллектив пенсионеров. Это реально работа для пенсионеров. В дополнение к пенсии, моей маме ок. Ну и физически не тяжёлая работа.. а, ну и праздники. За это не доплачивают. Но очень заставляют проводить постоянно мероприятия. То выставки, то концерты.. если это работа мечты Вашей дочери, то почему нет. Её выбор. Да, в Киеве можно заработать чуть больше. До 10-15 тысяч максимум. Но НЕ в областной. Там зп области - 6500
Идеально описана ’посадова інструкція бібліотекаря’. Все правда.
5
Конотопська відьма• 12 августа в 23:06
Ответ дляМиловидна леді
Можете показать моё сообщение дочери.
Моя мама библиотекарь. ЗП копейки. 6500. Те, кто работает там 40 лет получают до 10 за ’выслугу’.
Может Ваша дочь любит читать? Но нет, там не читают. Там пишут. Целыми днями пишут бланки читателей. Вписывают левых, читателям, которые не ходят вписывают книги. А все потому что у библиотек есть ПЛАН 🤯🙈 тоесть в день в бибоиотеку должно прийти, допустим, 80 человек. А в реальности приходит 5-10. И вот эти 80 человек делят на, к примеру, 4 работника. По 20 человек на каждого. Это значит, что им нужно взять 20 бланков читателей и написать каждому по 2-3 книги. Потом через время вычеркнуть, написать новые. И это нужно делать не постоянным, а ’мертвым душам’. Далее. Все переходит ДОПОЛНИТЕЛЬНО, не вместо, в электронный вариант. И помимо всего этого бреда-писанины нужно заполнять таблицы.. например, сейчас списывают русские книги. Каждому нужно списать 200 книг, образно. И вот берёшь одну книгу, вносишь в таблицу все данные по ней и так по очереди... дальше пыль. Это постоянная аллергия даже не у аллергика. Постоянное першение в горле и течёт из носа не переставая... санитарный день. Раз в месяц работники моют библиотеку сами. Коллектив пенсионеров. Это реально работа для пенсионеров. В дополнение к пенсии, моей маме ок. Ну и физически не тяжёлая работа.. а, ну и праздники. За это не доплачивают. Но очень заставляют проводить постоянно мероприятия. То выставки, то концерты.. если это работа мечты Вашей дочери, то почему нет. Её выбор. Да, в Киеве можно заработать чуть больше. До 10-15 тысяч максимум. Но НЕ в областной. Там зп области - 6500
Моя мама библиотекарь. ЗП копейки. 6500. Те, кто работает там 40 лет получают до 10 за ’выслугу’.
Может Ваша дочь любит читать? Но нет, там не читают. Там пишут. Целыми днями пишут бланки читателей. Вписывают левых, читателям, которые не ходят вписывают книги. А все потому что у библиотек есть ПЛАН 🤯🙈 тоесть в день в бибоиотеку должно прийти, допустим, 80 человек. А в реальности приходит 5-10. И вот эти 80 человек делят на, к примеру, 4 работника. По 20 человек на каждого. Это значит, что им нужно взять 20 бланков читателей и написать каждому по 2-3 книги. Потом через время вычеркнуть, написать новые. И это нужно делать не постоянным, а ’мертвым душам’. Далее. Все переходит ДОПОЛНИТЕЛЬНО, не вместо, в электронный вариант. И помимо всего этого бреда-писанины нужно заполнять таблицы.. например, сейчас списывают русские книги. Каждому нужно списать 200 книг, образно. И вот берёшь одну книгу, вносишь в таблицу все данные по ней и так по очереди... дальше пыль. Это постоянная аллергия даже не у аллергика. Постоянное першение в горле и течёт из носа не переставая... санитарный день. Раз в месяц работники моют библиотеку сами. Коллектив пенсионеров. Это реально работа для пенсионеров. В дополнение к пенсии, моей маме ок. Ну и физически не тяжёлая работа.. а, ну и праздники. За это не доплачивают. Но очень заставляют проводить постоянно мероприятия. То выставки, то концерты.. если это работа мечты Вашей дочери, то почему нет. Её выбор. Да, в Киеве можно заработать чуть больше. До 10-15 тысяч максимум. Но НЕ в областной. Там зп области - 6500
Для того чтобы ходили реальные люди и не надо было много приписывать мы проводим рекламные компании, выходим в микрорайон, в парки, к магазинам, к поликлинике, проводим мероприятия на улице, выносим книги для рекламы, распечатываем и раздаем рекламу. Плюс постоянно рекламируем себя на Фейсбуке, на страничках микрорайонов, в группах, в местных телеграм каналах. И т.п. но , поверьте, это очень обширная и трудоёмкая работа, просто приписать, конечно, легче. Когда приходит много людей, то некогда даже пардон, в туалет выйти. Целый день поток людей, нагрузка, а зарплата больше не становится.
2
1
5
Пес Патрон• 12 августа в 23:08
Ответ дляЛюбительница
Вы не видели бедных юристов, потому что 80% из них работают не по специальности. У нас вот на предприятии одна юрист в снабжении работает, а вторая менеджер по продажам. Это только те, о чьих дипломах юристов я в курсе.
А и, кстати, я, финансист, тоже работаю не по специальности. Потому что забебала меня работа в банке
А и, кстати, я, финансист, тоже работаю не по специальности. Потому что забебала меня работа в банке
Да по специальности тоже многие копейки получают. Не так уж много из них в процентном соотношении деньги лопатой гребут, да и не без связей они туда попали.
Миловидна леді• 12 августа в 23:08
Ответ дляКонотопська відьма
Для того чтобы ходили реальные люди и не надо было много приписывать мы проводим рекламные компании, выходим в микрорайон, в парки, к магазинам, к поликлинике, проводим мероприятия на улице, выносим книги для рекламы, распечатываем и раздаем рекламу. Плюс постоянно рекламируем себя на Фейсбуке, на страничках микрорайонов, в группах, в местных телеграм каналах. И т.п. но , поверьте, это очень обширная и трудоёмкая работа, просто приписать, конечно, легче. Когда приходит много людей, то некогда даже пардон, в туалет выйти. Целый день поток людей, нагрузка, а зарплата больше не становится.
Да, они тоже выходят, то в учебные заведения ходят, ведут фесбук, приглашают разные кружки и т.д. но проблема в том, что это Харьков. И один из районов, откуда больше всего выехало людей. Там просто некому ходить. Ходит несколько бабушек, несколько родителей приводят детей за литературой на лето и несколько странных мужчин ходят сидеть на сайтах знакомств за компьютерами в читальном зале )
Міряно-переміряно• 12 августа в 23:10
Таке враження, що вона вже пішла працювати в бібліотеку і її прикували ланцюгом.
Вам треба з неї лікар, що ненавидить людей і роботу? Психолог без власного розвитку й небажанням допомогти людині? Чи юрист, що за копійки десь у нотаріуса папки перекладає, бо на свою справу коштів нема? Ви ж молода жінка- вперед. Хто вам не дає реалізувати свою мрію?
Дитина сама обере де буде працювати. Розбереться
Вам треба з неї лікар, що ненавидить людей і роботу? Психолог без власного розвитку й небажанням допомогти людині? Чи юрист, що за копійки десь у нотаріуса папки перекладає, бо на свою справу коштів нема? Ви ж молода жінка- вперед. Хто вам не дає реалізувати свою мрію?
Дитина сама обере де буде працювати. Розбереться
2
Гопница-Советчица• 12 августа в 23:11
А вы , автор, работаете сейчас по образованию?Карьеру построили?
Мнения, изложенные в теме, передают взгляды авторов и не отражают позицию Kidstaff
Тема закрыта
Похожие темы:
Назад Комментарии к ответу