sovetchitsa
Советчица
Вход Регистрация
Спросить Советую Промо публикация Поиск товара
Настройки
Язык меню: ru ua Шрифт: a a a
Служба поддержки
Вход Регистрация
Правила | Ограничения | Cookies
©2008—2025 Советчица Kidstaff
Советчица - Бизнес, Финансы - Домашняя бухгалтерия
anonim_54
Сорока-ворона• 07 апреля в 20:02

У вас теж на харчування вже не вистачає зарплати?

Мені страшно, куди ми котимось(
Якщо купувати більш менш нормальні продукти, в день на сім´ю з 4х чол 700-900 грн виходить. І це без всяких делікатесів, базовий набір.
На 30 днів це мінімум 20000 грн тільки на їжу!
Це більше моєї з/п 😮. Їсти все саме дешевше теж не варіант, тоді лікуватись ще дорожче вийде(
Я вважаю, що це не нормально лупити такі ціни. Як людям виживати?
показать весь текст
dislike 2 like 5 exploding_head 6 woman_facepalming 33 crying_face 164
1060 0
Все фото темыКомментарии автораМои ответы
|« «» »|
  • 14
  • 15
  • 16
  • 17
  • 18
  • …
  • 36
anonim_37
ГороховаЯ• 07 апреля в 22:17
451
Ответ дляparele
Пищевой мусор+сигареты.
Прекрасный набор)
Ідеальна жінка, ми вас чекали
woman_facepalming 4 like 5 face_with_tears_of_joy 2
anonim_140
Брюлик в стразах• 07 апреля в 22:18
452
Ответ дляНезламна Україна
Повторюю, спустіться на землю. Людям подобається їх робота. Ганьба, що наша держава платить лише держмордам і прокурорам з тцкашніками.
То до чого я, до того як оплачує держава працю держ службовців?
like 2 woman_facepalming 2
anonim_207
Тримбулька• 07 апреля в 22:20
453
Ответ дляМеняАЖтрусит
ну так іншим бюджетникам по 30-60 платять. якщо ви не знали
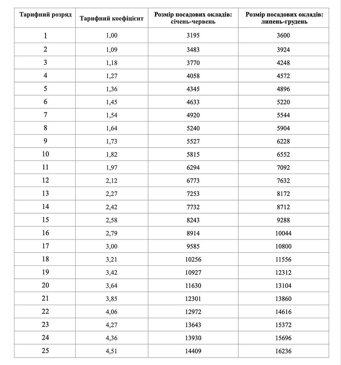
Чиновникам платять, а не бюджетникам. Бюджетникам(культура, освіта, медицина) платять за тарифною сіткою, ставка першого розряду трошки більше трьох тисяч грн і зарплати заморожені.
attached-photo
like 3
anonim_140
Брюлик в стразах• 07 апреля в 22:20
454
Ответ дляОшеламиссимо
То есть, вашего семейного дохода хватило на жизнь, кредит за ноут и оплату курсов?
И муж помогал с ребёнком
Навіщо ви приписуєте мені кредит за ноут? Читаємо ще раз, ноут був-для навчання його вистачало.
Чоловіка на той момент в мене не було. Була підтримка батьків, не фінансова. Було складно цей період, але результат того вартував
heart 3
anonim_104
Бензопирен• 07 апреля в 22:20
455
Ответ дляВиннипуховна
Я роблю замовлення в атб онлайн. На 2 тис грн ніяк не вийде набрати на тиждень продуктів на 3 людей з усім вами перерахованим.
кило риби, то нам з чоловіком їсти 2-3 дні, син рибу не їсть, кіло м´яса (роблю різне) теж на пару днів, ось і тиждень скінчився)) Для прикладу що купувала цієї суботи: хек 1 кг - 175 грн, яловичина 700 г - 200 грн, грудинка куряча на кістці - 150 грн, вирізка свиняча - 230 грн, сир твердий - 150 грн, палочка ковбаси - 180 грн, йогурти питні - 130 грн, яблука - 60 грн, картопля 240 грн, овочі свіжі - 300 грн, сметана - 60 грн., щавель - 50 грн
anonim_107
Незламна Україна• 07 апреля в 22:20
456
Ответ дляБрюлик в стразах
То до чого я, до того як оплачує держава працю держ службовців?
За вашою логікою, тільки ці люди шевелЯть дупами і змінюють якісно і корисно своє життя.
anonim_71
Ms. При теле• 07 апреля в 22:21
457
Ответ дляПомаранчова душа
Спостерігаючи за логікою і висловлюваннями - академічною освітою не пахне
А можно я снова я влезу? Так ли нужно то академическое образование? У мужа неполное среднее образование. Доход 200 тыс в месяц. И толку с того образования?
like 4 face_with_tears_of_joy 2
anonim_81
ПушАпница• 07 апреля в 22:22
458
Ответ дляТракторні війська
Вас не смущает, что это руккола, а вы выше писали про листовой салат?
Ні, не смушшаєт
anonim_71
Ms. При теле• 07 апреля в 22:22
459
Ответ дляОшеламиссимо
Я ещё хочу спросить, кто содержал ребёнка и аренду/ еду, пока мама искала работу первую

Неужто мушшш?
Напишу моё любимое выражение: кто хочет- ищет возможности, кто не хочет - ищет причины.
woman_facepalming 6 like 5
anonim_140
Брюлик в стразах• 07 апреля в 22:23
460
Ответ дляНезламна Україна
За вашою логікою, тільки ці люди шевелЯть дупами і змінюють якісно і корисно своє життя.
Ті які сидять на держ кормушці , це окрема каста людей, і як правило, саме вони сидять на дупі рівно і взагалі нічого не роблять окрім отримання зп і надбавок за вислугу
like 1
anonim_20
Зоркая Зорро• 07 апреля в 22:24
461
Ответ дляMs. При теле
А чем белок добираете?
Нічим . Боби або сочевицю рідко їмо .
crying_face 4
anonim_124
Як міряти?• 07 апреля в 22:24
462
Ответ дляПекельнi Борошна
А осінню купити паро мішків і в підвалі покласти!? Неваріант?
Невариант, по причине отсутствия подвала в квартире на пятом этаже многоэтажки.
like 1
anonim_120
Відповів всім• 07 апреля в 22:24
463
Ответ дляСорока-ворона
Можна ж дешеву ковбасу купити і мівіну)
А продукти здорового харчування - то вже розкіш для простого люду
Для кого-то ж дешёвую колбасу продают. Если у вас на нормальную не хватает, то да или купите дешёвую или замените чем-то другим.
like 2
anonim_82
Ондатрова шуба• 07 апреля в 22:25
464
У нас очень дорого все, и это правда
Я вчера приехала к сыну за границу на праздники и специально в магазине фотографировала цены
( для мужа), что бы этот неверующий поверил, насколько наши цены уже европейские. Он в шоке.
crying_face 4 heart 6
anonim_58
ТихоЯ• 07 апреля в 22:26
465
Ответ дляПушАпница
Чому ж, на їх думку, наше місце (чєляді)- виключно на фронті. Інакше давно б випустили нас звідси...
anonim_107
Незламна Україна• 07 апреля в 22:26
466
Ответ дляБрюлик в стразах
Ті які сидять на держ кормушці , це окрема каста людей, і як правило, саме вони сидять на дупі рівно і взагалі нічого не роблять окрім отримання зп і надбавок за вислугу
Але ж отримують, ´працюють´, ще встигають за кордон покататись, а в цей час всю брудну роботу роблять прості смертні. То на чиїх шиях ´заробляються´ великі гроші,чиїми руками? Хто тримає вмираючу економіку країни? Точно не тестувальники. Не пишіть мені про вибір.
like 6
anonim_57
Червона калина• 07 апреля в 22:28
467
Ответ дляБрюлик в стразах
Ми без них ніхто, ок, але вони самі по собі зробили свій вибір, коли ж ви це теж зрозумієте?
Какой выбор? Во всем мире люди этих профессий могут себя обеспечить . Я сейчас вынуждена работать в клинге за границей , мой рабочий день с 7 др 15, работа лёгкая, ЗП 850 евро нетто, для сравнения у сисадмина 1100 нетто. И такого пренебрежительного отношегтя к людям нет В Украине до этого в офисе с 10 до 18 и 15 чистыми.
like 8
anonim_130
Помаранчова душа• 07 апреля в 22:30
468
Ответ дляMs. При теле
А можно я снова я влезу? Так ли нужно то академическое образование? У мужа неполное среднее образование. Доход 200 тыс в месяц. И толку с того образования?
В більшості країн толк є
В Україні все спотворено
like 2
anonim_107
Незламна Україна• 07 апреля в 22:30
469
Ответ дляБрюлик в стразах
Ми без них ніхто, ок, але вони самі по собі зробили свій вибір, коли ж ви це теж зрозумієте?
То чому їх праці не оплачується як праця прокурора? Хто важливіший зараз до країни?
like 5
anonim_5
З вишневого садка• 07 апреля в 22:30
470
Ответ для220В
Та ні, зараз напишуть пахати треба, як кінь. Мало працюєте...
Це пишуть ті, хто поки ще має непоганий дохід, або прикоритники. А як до самих черга дійде вламувати на декільках роботах цілодобово за копійки, то в них будуть ʼлапкиʼ.
like 2 heart 5
anonim_57
Ну шо не так?• 07 апреля в 22:31
471
Ответ дляОндатрова шуба
У нас очень дорого все, и это правда
Я вчера приехала к сыну за границу на праздники и специально в магазине фотографировала цены
( для мужа), что бы этот неверующий поверил, насколько наши цены уже европейские. Он в шоке.
І продукти, як пластмаса
dislike 6
anonim_5
З вишневого садка• 07 апреля в 22:31
472
Ответ дляЧервона калина
Да когда же вы развитые поймёте, что люди которые за вами убирают, шьют для вас, мусор вывозят тоже есть хотят, у них есть дети тоже. И вы, как бы вы не развивались, ноль без палочки без них. Или сами по очереди мусор будете вывозить со своих улиц? После курсов и элитной работы?
100%
Когда покупательская способность населения упадет до того уровня, что услуги ʼнавыково-развитых’ почти никому не нужны будут, то может быть и дойдет что-то про важность достойной оплаты и отношения к людям ‘базовых’ профессий.
like 11
anonim_82
Ондатрова шуба• 07 апреля в 22:33
473
Ответ дляНу шо не так?
І продукти, як пластмаса
бред. и кто это вам внушает?
Скорее наоборот
И старички, которые живут по 90 лет от пластмассы 😆
like 4
anonim_45
Неробименінерви• 07 апреля в 22:33
474
Ответ дляПушАпница
В мене купа тканин лежить. Колись нагрібали в колективних закупах і жартували з дівчатами ’на випадок війни’...хто ж міг подумати, що ми дійсно житимемо у війну((
і в мене лежить.називала ’стратегічним запасом’..,а зараз і хочеться продати частину і напружують оці їх нововведення зі штрафами..
heart 4
anonim_35
Я не Тролль• 07 апреля в 22:35
475
Что вы тут 16 страниц ноете и ноете
like 2 woman_facepalming 4
anonim_107
Незламна Україна• 07 апреля в 22:36
476
Ответ дляЯ не Тролль
Что вы тут 16 страниц ноете и ноете
Вас чекали, щоб ви спитали.
like 8
anonim_35
Я не Тролль• 07 апреля в 22:37
477
Ответ дляНезламна Україна
Вас чекали, щоб ви спитали.
Та да, зашла почитать что то интересное перед сном а тут одно нытье
woman_facepalming 3
anonim_23
Вільний митець• 07 апреля в 22:38
478
Хоч би і з того місця, що є не звільнили, одні скорочення постійні на роботах….
crying_face 4
anonim_107
Незламна Україна• 07 апреля в 22:38
479
Ответ дляЯ не Тролль
Та да, зашла почитать что то интересное перед сном а тут одно нытье
На добраніч. в зефірному, рожевому світі вже ряднами трясуть
like 8
anonim_45
Неробименінерви• 07 апреля в 22:39
480
Ответ дляПьяная вишня
никто делать не будет за нас, но у нас немного не сложилось по жизни с государством, вернее недогосуд-ва...где людей просто истребляют, все начинания, хотения, убирают возможности. Остается только красть! Безбожно, как властьимущие.
прошу пробачення...,але люди самі вибрали собі оце государство’ одною галочкою, сміючись,що ’хуженєбудєт’.
так що все правильно, що хотіли, то те і отримали..
like 5
|« «» »|
  • 14
  • 15
  • 16
  • 17
  • 18
  • …
  • 36
Мнения, изложенные в теме, передают взгляды авторов и не отражают позицию Kidstaff
Тема закрыта

Похожие темы:

Ще з цiкавого


Популярные вопросы!

Сегодня Вчера 7 дней 30 дней

ещё

Сейчас читают!

Благотворительность!

Назад Комментарии к ответу

О нас | Служба Поддержки | Помощь

Правила | Ограничения | Cookies ©2008—2025 Советчица Kidstaff